
تاريخ الفيزياء

علماء الفيزياء


الفيزياء الكلاسيكية

الميكانيك

الديناميكا الحرارية


الكهربائية والمغناطيسية

الكهربائية

المغناطيسية

الكهرومغناطيسية


علم البصريات

تاريخ علم البصريات

الضوء

مواضيع عامة في علم البصريات

الصوت


الفيزياء الحديثة


النظرية النسبية

النظرية النسبية الخاصة

النظرية النسبية العامة

مواضيع عامة في النظرية النسبية

ميكانيكا الكم

الفيزياء الذرية

الفيزياء الجزيئية


الفيزياء النووية

مواضيع عامة في الفيزياء النووية

النشاط الاشعاعي


فيزياء الحالة الصلبة

الموصلات

أشباه الموصلات

العوازل

مواضيع عامة في الفيزياء الصلبة

فيزياء الجوامد


الليزر

أنواع الليزر

بعض تطبيقات الليزر

مواضيع عامة في الليزر


علم الفلك

تاريخ وعلماء علم الفلك

الثقوب السوداء


المجموعة الشمسية

الشمس

كوكب عطارد

كوكب الزهرة

كوكب الأرض

كوكب المريخ

كوكب المشتري

كوكب زحل

كوكب أورانوس

كوكب نبتون

كوكب بلوتو

القمر

كواكب ومواضيع اخرى

مواضيع عامة في علم الفلك

النجوم

البلازما

الألكترونيات

خواص المادة


الطاقة البديلة

الطاقة الشمسية

مواضيع عامة في الطاقة البديلة

المد والجزر

فيزياء الجسيمات


الفيزياء والعلوم الأخرى

الفيزياء الكيميائية

الفيزياء الرياضية

الفيزياء الحيوية

الفيزياء والفلسفة

الفيزياء العامة


مواضيع عامة في الفيزياء

تجارب فيزيائية

مصطلحات وتعاريف فيزيائية

وحدات القياس الفيزيائية

طرائف الفيزياء

مواضيع اخرى
Relativistic momentum
المؤلف:
Richard Feynman, Robert Leighton and Matthew Sands
المصدر:
The Feynman Lectures on Physics
الجزء والصفحة:
Volume I, Chapter 10
2024-02-08
2236
In modern times the law of conservation of momentum has undergone certain modifications. However, the law is still true today, the modifications being mainly in the definitions of things. In the theory of relativity, it turns out that we do have conservation of momentum; the particles have mass and the momentum is still given by mv, the mass times the velocity, but the mass changes with the velocity, hence the momentum also changes. The mass varies with velocity according to the law

where m0 is the mass of the body at rest and c is the speed of light. It is easy to see from the formula that there is negligible difference between m and m0 unless v is very large, and that for ordinary velocities the expression for momentum reduces to the old formula.
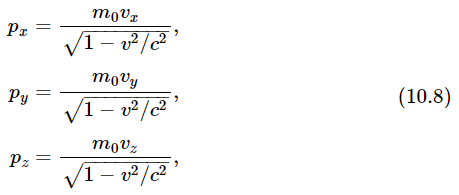
The components of momentum for a single particle are written as
where v2=v2x+v2y+v2z. If the x–components are summed over all the interacting particles, both before and after a collision, the sums are equal; that is, momentum is conserved in the x–direction. The same holds true in any direction.
We saw that the law of conservation of energy is not valid unless we recognize that energy appears in different forms, electrical energy, mechanical energy, radiant energy, heat energy, and so on. In some of these cases, heat energy for example, the energy might be said to be “hidden.” This example might suggest the question, “Are there also hidden forms of momentum—perhaps heat momentum?” The answer is that it is very hard to hide momentum for the following reasons.
The random motions of the atoms of a body furnish a measure of heat energy, if the squares of the velocities are summed. This sum will be a positive result, having no directional character. The heat is there, whether or not the body moves as a whole, and conservation of energy in the form of heat is not very obvious. On the other hand, if one sums the velocities, which have direction, and finds a result that is not zero, that means that there is a drift of the entire body in some particular direction, and such a gross momentum is readily observed. Thus, there is no random internal lost momentum, because the body has net momentum only when it moves as a whole. Therefore momentum, as a mechanical quantity, is difficult to hide. Nevertheless, momentum can be hidden—in the electromagnetic field, for example. This case is another effect of relativity.
One of the propositions of Newton was that interactions at a distance are instantaneous. It turns out that such is not the case; in situations involving electrical forces, for instance, if an electrical charge at one location is suddenly moved, the effects on another charge, at another place, do not appear instantaneously—there is a little delay. In those circumstances, even if the forces are equal the momentum will not check out; there will be a short time during which there will be trouble, because for a while the first charge will feel a certain reaction force, say, and will pick up some momentum, but the second charge has felt nothing and has not yet changed its momentum. It takes time for the influence to cross the intervening distance, which it does at 186,000 miles a second. In that tiny time the momentum of the particles is not conserved. Of course, after the second charge has felt the effect of the first one and all is quieted down, the momentum equation will check out all right, but during that small interval momentum is not conserved. We represent this by saying that during this interval there is another kind of momentum besides that of the particle, mv, and that is momentum in the electromagnetic field. If we add the field momentum to the momentum of the particles, then momentum is conserved at any moment all the time. The fact that the electromagnetic field can possess momentum and energy makes that field very real, and so, for better understanding, the original idea that there are just the forces between particles has to be modified to the idea that a particle makes a field, and a field acts on another particle, and the field itself has such familiar properties as energy content and momentum, just as particles can have. To take another example: an electromagnetic field has waves, which we call light; it turns out that light also carries momentum with it, so when light impinges on an object it carries in a certain amount of momentum per second; this is equivalent to a force, because if the illuminated object is picking up a certain amount of momentum per second, its momentum is changing and the situation is exactly the same as if there were a force on it. Light can exert pressure by bombarding an object; this pressure is very small, but with sufficiently delicate apparatus it is measurable.
Now in quantum mechanics it turns out that momentum is a different thing—it is no longer mv. It is hard to define exactly what is meant by the velocity of a particle, but momentum still exists. In quantum mechanics the difference is that when the particles are represented as particles, the momentum is still mv, but when the particles are represented as waves, the momentum is measured by the number of waves per centimeter: the greater this number of waves, the greater the momentum. In spite of the differences, the law of conservation of momentum holds also in quantum mechanics. Even though the law F=ma is false, and all the derivations of Newton were wrong for the conservation of momentum, in quantum mechanics, nevertheless, in the end, that particular law maintains itself!
الاكثر قراءة في الميكانيك
اخر الاخبار
اخبار العتبة العباسية المقدسة
الآخبار الصحية

قسم الشؤون الفكرية يصدر كتاباً يوثق تاريخ السدانة في العتبة العباسية المقدسة
"المهمة".. إصدار قصصي يوثّق القصص الفائزة في مسابقة فتوى الدفاع المقدسة للقصة القصيرة
(نوافذ).. إصدار أدبي يوثق القصص الفائزة في مسابقة الإمام العسكري (عليه السلام)