Radiation Force
المؤلف:
Sidney B. Cahn, Gerald D. Mahan And Boris E. Nadgorny
المصدر:
A GUIDE TO PHYSICS PROBLEMS
الجزء والصفحة:
part 2 , p 35
3-9-2016
1730
Radiation Force
Consider an idealized Sun and Earth, both blackbodies, in otherwise empty flat space. The Sun is at a temperature TS = 6000 K, and heat transfer by oceans and atmosphere on the Earth is so effective as to keep the Earth’s surface temperature uniform. The radius of the Earth is RE = 6.4 × 106 m, the radius of the Sun is RS = 7 × 108 m, and the Earth–Sun distance is d = 1.5 × 1011m. The mass of Sun MS = 2 × 1030 kg.
a) Find the temperature of the Earth.
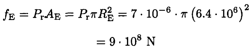
d) Find the radiation force on the Earth.
c) Compare these results with those for an interplanetary “chondrule” in the form of a spherical, perfectly conducting blackbody with a radius R = 0.1 cm, moving in a circular orbit around the Sun at a radius equal to the Earth–Sun distance d.
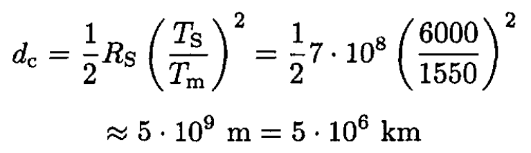
b) At what distance from the Sun would a metallic particle melt (melting temperature Tm = 1550 K)?
e) For what size particle would the radiation force calculated in (c) be equal to the gravitational force from the Sun at a distance?
SOLUTION
a) The total radiation flux from the Sun is
(1)
where σ is the Stefan–Boltzmann constant. Only a fraction π R2E/4πd2 of this flux reaches the Earth. In equilibrium this fraction equals the total flux radiated from the Earth at temperature TE. So
(2)
From (2) we obtain
(3)
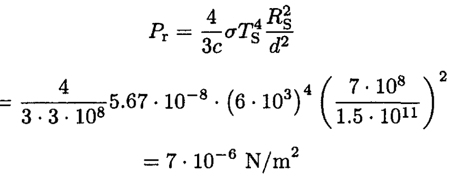
b) The radiation pressure on the Earth is given by
(4)
where (RS/d)2 is the ratio of the total flux from the Sun to the flux that reaches the Earth. The radiation force on the Earth
(5)
where AE is the cross section of the Earth.
c) For the small “chondrule” the temperature will be the same because it depends only on the angle at which the Sun is seen and the radiation force:
(6)
d) Using (3) and denoting the melting temperature of the metallic particle Tm and the distance from the Sun dc, we obtain
(7)
e) Let us estimate the radius of a particle for which the radiation force will equal the gravitational force at the distance of the Earth’s orbit d. Using (6), we have
(8)
where the particle mass mp = (4/3)πr3 ρ, and ρ ~ 103 kg/m3
(9)
الاكثر قراءة في مواضيع اخرى
اخر الاخبار
اخبار العتبة العباسية المقدسة