تاريخ الفيزياء
علماء الفيزياء
الفيزياء الكلاسيكية
الميكانيك
الديناميكا الحرارية
الكهربائية والمغناطيسية
الكهربائية
المغناطيسية
الكهرومغناطيسية
علم البصريات
تاريخ علم البصريات
الضوء
مواضيع عامة في علم البصريات
الصوت
الفيزياء الحديثة
النظرية النسبية
النظرية النسبية الخاصة
النظرية النسبية العامة
مواضيع عامة في النظرية النسبية
ميكانيكا الكم
الفيزياء الذرية
الفيزياء الجزيئية
الفيزياء النووية
مواضيع عامة في الفيزياء النووية
النشاط الاشعاعي
فيزياء الحالة الصلبة
الموصلات
أشباه الموصلات
العوازل
مواضيع عامة في الفيزياء الصلبة
فيزياء الجوامد
الليزر
أنواع الليزر
بعض تطبيقات الليزر
مواضيع عامة في الليزر
علم الفلك
تاريخ وعلماء علم الفلك
الثقوب السوداء
المجموعة الشمسية
الشمس
كوكب عطارد
كوكب الزهرة
كوكب الأرض
كوكب المريخ
كوكب المشتري
كوكب زحل
كوكب أورانوس
كوكب نبتون
كوكب بلوتو
القمر
كواكب ومواضيع اخرى
مواضيع عامة في علم الفلك
النجوم
البلازما
الألكترونيات
خواص المادة
الطاقة البديلة
الطاقة الشمسية
مواضيع عامة في الطاقة البديلة
المد والجزر
فيزياء الجسيمات
الفيزياء والعلوم الأخرى
الفيزياء الكيميائية
الفيزياء الرياضية
الفيزياء الحيوية
الفيزياء العامة
مواضيع عامة في الفيزياء
تجارب فيزيائية
مصطلحات وتعاريف فيزيائية
وحدات القياس الفيزيائية
طرائف الفيزياء
مواضيع اخرى
Hydrogen Sublimation in Intergalactic Space
المؤلف:
Sidney B. Cahn, Gerald D. Mahan And Boris E. Nadgorny
المصدر:
A GUIDE TO PHYSICS PROBLEMS
الجزء والصفحة:
part 2 , p 30
29-8-2016
1487
Hydrogen Sublimation in Intergalactic Space
A lump of condensed molecular hydrogen in intergalactic space would tend to sublimate (evaporate) because the ambient pressure of hydrogen is well below the equilibrium vapor pressure. Find an order-of-magnitude estimate of the rate of sublimation per unit area at T = 3K. The latent heat of sublimation is L ~ 450 J/g, and the vapor pressure at the triple point Tt ~ 15 K is Pt ~ 50 nm of Hg. (1 atm ~760 nm Hg ~ 106 dyn/cm2).
SOLUTION
We can estimate the vapor pressure P at T = 3K. Namely,
(1)
where Pt is the pressure at the triple point and R is the gas constant. Here we disregard the volume per molecule of solid hydrogen compared to the one for its vapor. This formula is written under the assumption that the latent heat does not depend on the temperature, but for an order-of-magnitude estimate this is good enough.
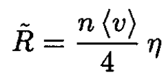
Consider solid hydrogen at equilibrium with its vapor. Then the number of particles evaporating from the surface equals the number of particles striking the surface and sticking to it from the vapor. The rate of the particles striking the surface is given by
(2)
where ρ is the number density, 〈v〉 is the average speed, and η is a sticking coefficient, which for this estimate we take equal to 1. Where we calculated the rate of particles striking the surface. Now if the density is not too high, the number of particles leaving the surface does not depend on whether there is vapor outside, so this would be the sublimation rate. we get
where m is the mass of a hydrogen molecule, and substituting n = P/kBT, we may rewrite (2) as
(3)
الاكثر قراءة في مواضيع اخرى
اخر الاخبار
اخبار العتبة العباسية المقدسة

الآخبار الصحية
