Cylinder with Massive Piston
المؤلف:
Sidney B. Cahn, Gerald D. Mahan And Boris E. Nadgorny
المصدر:
A GUIDE TO PHYSICS PROBLEMS
الجزء والصفحة:
part 2 , p 14
25-8-2016
1780
Cylinder with Massive Piston
Consider n moles of an ideal monatomic gas placed in a vertical cylinder. The top of the cylinder is closed by a piston of mass M and cross section A (see Figure 1.1). Initially the piston is fixed, and the gas has volume V0 and temperature T0. Next, the piston is released, and after several oscillations comes to a stop. Disregarding friction and the heat capacity of the piston and cylinder, find the temperature and volume of the gas at equilibrium. The system is thermally isolated, and the pressure outside the cylinder is Pa.

Figure 1.1
SOLUTION
When the piston is released, it will move in some, as yet unknown, direction. The gas will obey the ideal gas law at equilibrium, so
(1)

Figure 1.2
On the other hand, at equilibrium, there is no net force acting on the piston (see Figure 1.2), and we have
(2)
Substituting (2) into (1) gives
(3)
We can also use energy conservation in this thermally insulated system. Then the work done to the gas equals its energy change ∆ε. For an ideal gas
(4)
Where Cv is the heat capacity of one mole of the gas (for a monatomic gas, Cv = 3R/2). The work done to the gas
(5)
where x = (V0- V)/A is the distance the piston moves, where downward is positive. From (4) and (5), we have
(6)
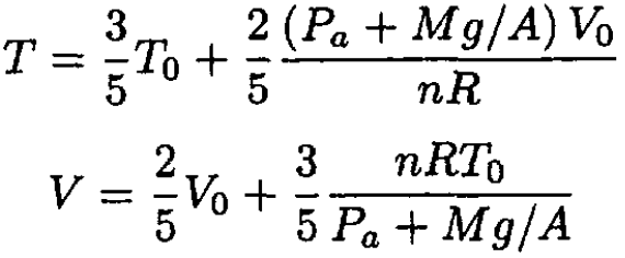
Solving (3) and (6) yields
(7)
We may check that if P0 = Pa + Mg/A, i.e., that the piston was initially balanced, (7) gives T = T0 and V = V0.
الاكثر قراءة في مواضيع اخرى
اخر الاخبار
اخبار العتبة العباسية المقدسة