
تاريخ الفيزياء

علماء الفيزياء


الفيزياء الكلاسيكية

الميكانيك

الديناميكا الحرارية


الكهربائية والمغناطيسية

الكهربائية

المغناطيسية

الكهرومغناطيسية


علم البصريات

تاريخ علم البصريات

الضوء

مواضيع عامة في علم البصريات

الصوت


الفيزياء الحديثة


النظرية النسبية

النظرية النسبية الخاصة

النظرية النسبية العامة

مواضيع عامة في النظرية النسبية

ميكانيكا الكم

الفيزياء الذرية

الفيزياء الجزيئية


الفيزياء النووية

مواضيع عامة في الفيزياء النووية

النشاط الاشعاعي


فيزياء الحالة الصلبة

الموصلات

أشباه الموصلات

العوازل

مواضيع عامة في الفيزياء الصلبة

فيزياء الجوامد


الليزر

أنواع الليزر

بعض تطبيقات الليزر

مواضيع عامة في الليزر


علم الفلك

تاريخ وعلماء علم الفلك

الثقوب السوداء


المجموعة الشمسية

الشمس

كوكب عطارد

كوكب الزهرة

كوكب الأرض

كوكب المريخ

كوكب المشتري

كوكب زحل

كوكب أورانوس

كوكب نبتون

كوكب بلوتو

القمر

كواكب ومواضيع اخرى

مواضيع عامة في علم الفلك

النجوم

البلازما

الألكترونيات

خواص المادة


الطاقة البديلة

الطاقة الشمسية

مواضيع عامة في الطاقة البديلة

المد والجزر

فيزياء الجسيمات


الفيزياء والعلوم الأخرى

الفيزياء الكيميائية

الفيزياء الرياضية

الفيزياء الحيوية

الفيزياء والفلسفة

الفيزياء العامة


مواضيع عامة في الفيزياء

تجارب فيزيائية

مصطلحات وتعاريف فيزيائية

وحدات القياس الفيزيائية

طرائف الفيزياء

مواضيع اخرى
Bose Condensation Critical Parameters
المؤلف:
Sidney B. Cahn, Gerald D. Mahan And Boris E. Nadgorny
المصدر:
A GUIDE TO PHYSICS PROBLEMS
الجزء والصفحة:
part 2 , p 34
25-8-2016
1701
Bose Condensation Critical Parameters
Consider an ideal Bose gas of N particles of mass m and spin zero in a volume V and temperature τ above the condensation point.
a) What is the critical volume VC below which Bose–Einstein condensation occurs? An answer up to a numerical constant will be sufficient.
b) What is the answer to (a) in two dimensions?
SOLUTION
a) The number of particles dN in an element of phase space is given by
(1)
where g = 2S + 1. With the usual dispersion law for an ideal gas ε = p2/2m and integrating over d3q, we find the particle distribution over energy:
(2)
Integrating (2), we obtain a formula for the total number N of particles in the gas:
(3)
Letting ε/τ = x, we rewrite (3) as
(4)
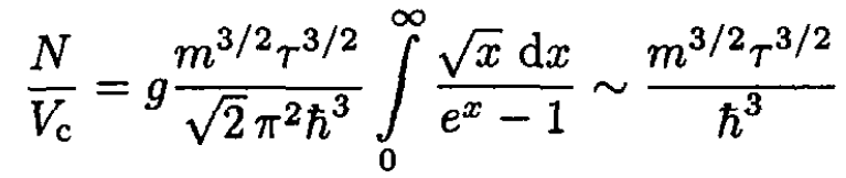
(4) defines a parametric equation for the chemical potential μ. The decrease of volume (or temperature) will increase the value of the integral, and therefore the value of μ (which is always negative in Bose statistics) will increase. The critical parameters Vc or τc correspond to the point where μ = 0 (i.e., if you decrease the volume or temperature any further, μ should increase even further to provide a solution to (4), whereas it cannot become positive). So we can write at a certain temperature:
(5)
Therefore,
(6)
b) In two dimensions the integral (3) becomes

and there is no Bose condensation.
الاكثر قراءة في مواضيع اخرى
اخر الاخبار
اخبار العتبة العباسية المقدسة
الآخبار الصحية

قسم الشؤون الفكرية يصدر كتاباً يوثق تاريخ السدانة في العتبة العباسية المقدسة
"المهمة".. إصدار قصصي يوثّق القصص الفائزة في مسابقة فتوى الدفاع المقدسة للقصة القصيرة
(نوافذ).. إصدار أدبي يوثق القصص الفائزة في مسابقة الإمام العسكري (عليه السلام)