تاريخ الفيزياء
علماء الفيزياء
الفيزياء الكلاسيكية
الميكانيك
الديناميكا الحرارية
الكهربائية والمغناطيسية
الكهربائية
المغناطيسية
الكهرومغناطيسية
علم البصريات
تاريخ علم البصريات
الضوء
مواضيع عامة في علم البصريات
الصوت
الفيزياء الحديثة
النظرية النسبية
النظرية النسبية الخاصة
النظرية النسبية العامة
مواضيع عامة في النظرية النسبية
ميكانيكا الكم
الفيزياء الذرية
الفيزياء الجزيئية
الفيزياء النووية
مواضيع عامة في الفيزياء النووية
النشاط الاشعاعي
فيزياء الحالة الصلبة
الموصلات
أشباه الموصلات
العوازل
مواضيع عامة في الفيزياء الصلبة
فيزياء الجوامد
الليزر
أنواع الليزر
بعض تطبيقات الليزر
مواضيع عامة في الليزر
علم الفلك
تاريخ وعلماء علم الفلك
الثقوب السوداء
المجموعة الشمسية
الشمس
كوكب عطارد
كوكب الزهرة
كوكب الأرض
كوكب المريخ
كوكب المشتري
كوكب زحل
كوكب أورانوس
كوكب نبتون
كوكب بلوتو
القمر
كواكب ومواضيع اخرى
مواضيع عامة في علم الفلك
النجوم
البلازما
الألكترونيات
خواص المادة
الطاقة البديلة
الطاقة الشمسية
مواضيع عامة في الطاقة البديلة
المد والجزر
فيزياء الجسيمات
الفيزياء والعلوم الأخرى
الفيزياء الكيميائية
الفيزياء الرياضية
الفيزياء الحيوية
الفيزياء العامة
مواضيع عامة في الفيزياء
تجارب فيزيائية
مصطلحات وتعاريف فيزيائية
وحدات القياس الفيزيائية
طرائف الفيزياء
مواضيع اخرى
Adiabatic Atmosphere
المؤلف:
Sidney B. Cahn, Gerald D. Mahan And Boris E. Nadgorny
المصدر:
A GUIDE TO PHYSICS PROBLEMS
الجزء والصفحة:
part 2 , p 13
25-8-2016
1442
Adiabatic Atmosphere
The lower 10–15 km of the atmosphere, the troposphere, is often in a convective steady state with constant entropy, not constant temperature (PVγ is independent of the altitude, where γ = CP/CV).
a) Find the change of temperature in this model with altitude dT/dz.
b) Estimate dT/dz in K/km. Consider the average diatomic molecule of air with molar mass μ = 29 g/mole.
SOLUTION
a) Starting from the ideal gas law, we can express the temperature T as a function of pressure P and the mass density ρ:
(1)
where P and ρ are functions of the height z above the surface of the Earth: P ≡ P(z), P ≡ ρ(z). Taking the derivative of T with respect to z, we have
(2)
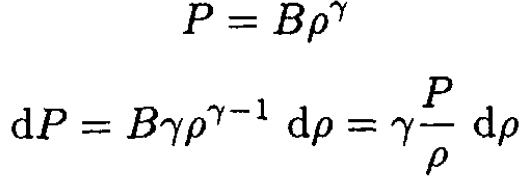
We need to express dρ in terms of dP. The fact that PVγ is independent of altitude allows us to write
where B is some constant. So
(3)
Substituting (3) into (2), we obtain
(4)
Assuming that the acceleration of gravity is constant, using the hydrostatic pressure formula
(5)
and substituting (5) into (4), we can write
(6)
b) For the atmosphere, using diatomic molecules with CV = 5R/2 and CP = 7R/2, we have from (6),
This value of |dT/dz| is about a factor of 2 larger than that for the actual atmosphere.
الاكثر قراءة في مواضيع اخرى
اخر الاخبار
اخبار العتبة العباسية المقدسة

الآخبار الصحية
