تاريخ الفيزياء
علماء الفيزياء
الفيزياء الكلاسيكية
الميكانيك
الديناميكا الحرارية
الكهربائية والمغناطيسية
الكهربائية
المغناطيسية
الكهرومغناطيسية
علم البصريات
تاريخ علم البصريات
الضوء
مواضيع عامة في علم البصريات
الصوت
الفيزياء الحديثة
النظرية النسبية
النظرية النسبية الخاصة
النظرية النسبية العامة
مواضيع عامة في النظرية النسبية
ميكانيكا الكم
الفيزياء الذرية
الفيزياء الجزيئية
الفيزياء النووية
مواضيع عامة في الفيزياء النووية
النشاط الاشعاعي
فيزياء الحالة الصلبة
الموصلات
أشباه الموصلات
العوازل
مواضيع عامة في الفيزياء الصلبة
فيزياء الجوامد
الليزر
أنواع الليزر
بعض تطبيقات الليزر
مواضيع عامة في الليزر
علم الفلك
تاريخ وعلماء علم الفلك
الثقوب السوداء
المجموعة الشمسية
الشمس
كوكب عطارد
كوكب الزهرة
كوكب الأرض
كوكب المريخ
كوكب المشتري
كوكب زحل
كوكب أورانوس
كوكب نبتون
كوكب بلوتو
القمر
كواكب ومواضيع اخرى
مواضيع عامة في علم الفلك
النجوم
البلازما
الألكترونيات
خواص المادة
الطاقة البديلة
الطاقة الشمسية
مواضيع عامة في الطاقة البديلة
المد والجزر
فيزياء الجسيمات
الفيزياء والعلوم الأخرى
الفيزياء الكيميائية
الفيزياء الرياضية
الفيزياء الحيوية
الفيزياء العامة
مواضيع عامة في الفيزياء
تجارب فيزيائية
مصطلحات وتعاريف فيزيائية
وحدات القياس الفيزيائية
طرائف الفيزياء
مواضيع اخرى
Algebra of Angular Momentum
المؤلف:
Sidney B. Cahn, Gerald D. Mahan And Boris E. Nadgorny
المصدر:
A GUIDE TO PHYSICS PROBLEMS
الجزء والصفحة:
part 2 , p 60
14-8-2016
1614
Algebra of Angular Momentum
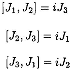
Given the commutator algebra
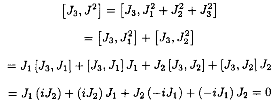
a) Show that J2 = J21 + J22 + J23 commutes with J3.
b) Derive the spectrum of {J2, J3} from the commutation relations.
SOLUTION
a)
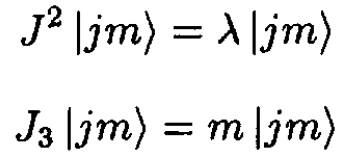
b) Since J2 and J3 commute, we will try to find eigenstates with eigenvalues of J2 and J3 denoted by |jm〉 where j, m are real numbers:
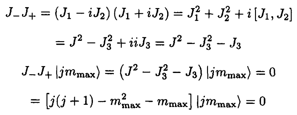
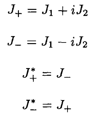
Since J21 + J22 + J23 ≥ J23 we know that λ ≥ m2. Anticipating the result, let λ ≡ j(j + 1). Form the raising and lowering operators J+ and J-:
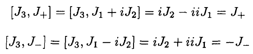
Find the commutators
(1)
From part (a) we know that [J±, J2] = 0. We now ask what is the eigenvalue of J2 for the states J± |jm〉:
(2)
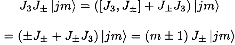
So, these states have the same eigenvalue of J2. Now, examine the eigenvalue of J3 for these states:
(3)
In (3) we see that J± has the effect of raising or lowering the m-value of the states |jm〉 so that
where Cmj± are the corresponding coefficients. As determined above, we know that j(j + 1) ≥ m2, so J± cannot be applied indefinitely to the state |jm〉; i.e., there must be an m = mmax, m = mmin such that
(4)
(5)
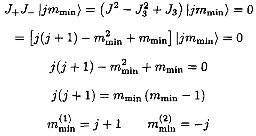
Expand J-J+ and apply J- to (4):
Either the state |jmmax〉 is zero or j(j + 1) – m2max – mnax = 0. So
Similarly,
For j ≥ 0, and since mmax ≥ mmin, the only solution is
We knew that j was real, but now we have mmax – mmin = 2j = integer, so
الاكثر قراءة في مواضيع اخرى
اخر الاخبار
اخبار العتبة العباسية المقدسة

الآخبار الصحية
