Particle Colliding with Reflecting Walls
المؤلف:
Sidney B. Cahn And Boris E. Nadgorny
المصدر:
A GUIDE TO PHYSICS PROBLEMS
الجزء والصفحة:
part 1 , p 12
28-7-2016
1561
Particle Colliding with Reflecting Walls
Consider a particle of mass m moving in two dimensions between two perfectly reflecting walls which intersect at an angle χ at the origin (see Figure 1.1). Assume that when the particle is reflected, its speed is unchanged and its angle of incidence equals its angle of reflection. The particle is attracted to the origin by a potential U(r) = -c/r2 where c is some constant.

Figure 1.1
Now start the particle at a distance R from the origin on the x-axis with a velocity vector V = (Vx, Vy). Assume Vy ≠0, Vx < 0.
a) Determine the equation for distance of closest approach to the origin.
b) Under what conditions will the particle reach the origin?
c) Under what circumstance will it escape to infinity?
SOLUTION
a) The presence of the perfectly reflecting walls is a smokescreen, obscuring the two-dimensional central force problem (see Figure 1.2a). In r, θ coordinates, each reflection merely changes
into -
, which does not affect the energy or the magnitude of the angular momentum, so ignore the walls.

Figure 1.2a
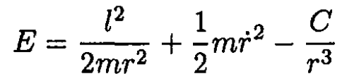
Write the energy as
(1)
where l is the angular momentum of the particle about the origin. If the particle does not actually hit the origin, at its closest approach to the origin r = rca, ṙ = 0 (see Figure 1.2b). Equating the initial energy of the particle with its energy here:
(2)
where l = mVyR. Solving (2) for rca gives the distance of closest approach.

Figure 1.2b
b) Considering the problem in one dimension, we write the effective potential from (1)
(3)
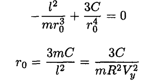
It has a maximum when ∂Ueff/∂r = 0.
(4)
Here
(5)
If the energy of the particle exceeds this value, the particle will greet the origin and escape to infinity. In addition, if the energy is less than this value, but the initial position R is less than the value given by (4)

then the particle will also reach the origin.
c) If, as in (b), the energy exceeds (5), then the particle will escape to infinity. If, on the other hand, the energy is too small, but the particle starts with R > rca then the particle will turn around at rca and escape also.
الاكثر قراءة في مواضيع اخرى
اخر الاخبار
اخبار العتبة العباسية المقدسة