
تاريخ الفيزياء

علماء الفيزياء


الفيزياء الكلاسيكية

الميكانيك

الديناميكا الحرارية


الكهربائية والمغناطيسية

الكهربائية

المغناطيسية

الكهرومغناطيسية


علم البصريات

تاريخ علم البصريات

الضوء

مواضيع عامة في علم البصريات

الصوت


الفيزياء الحديثة


النظرية النسبية

النظرية النسبية الخاصة

النظرية النسبية العامة

مواضيع عامة في النظرية النسبية

ميكانيكا الكم

الفيزياء الذرية

الفيزياء الجزيئية


الفيزياء النووية

مواضيع عامة في الفيزياء النووية

النشاط الاشعاعي


فيزياء الحالة الصلبة

الموصلات

أشباه الموصلات

العوازل

مواضيع عامة في الفيزياء الصلبة

فيزياء الجوامد


الليزر

أنواع الليزر

بعض تطبيقات الليزر

مواضيع عامة في الليزر


علم الفلك

تاريخ وعلماء علم الفلك

الثقوب السوداء


المجموعة الشمسية

الشمس

كوكب عطارد

كوكب الزهرة

كوكب الأرض

كوكب المريخ

كوكب المشتري

كوكب زحل

كوكب أورانوس

كوكب نبتون

كوكب بلوتو

القمر

كواكب ومواضيع اخرى

مواضيع عامة في علم الفلك

النجوم

البلازما

الألكترونيات

خواص المادة


الطاقة البديلة

الطاقة الشمسية

مواضيع عامة في الطاقة البديلة

المد والجزر

فيزياء الجسيمات


الفيزياء والعلوم الأخرى

الفيزياء الكيميائية

الفيزياء الرياضية

الفيزياء الحيوية

الفيزياء والفلسفة

الفيزياء العامة


مواضيع عامة في الفيزياء

تجارب فيزيائية

مصطلحات وتعاريف فيزيائية

وحدات القياس الفيزيائية

طرائف الفيزياء

مواضيع اخرى
The constant of aberration
المؤلف:
A. Roy, D. Clarke
المصدر:
Astronomy - Principles and Practice 4th ed
الجزء والصفحة:
p 137
3-8-2020
2116
The constant of aberration
The constant of aberration is officially defined as being equal to the ratio of the speed of a planet of negligible mass, moving in a circular orbit of unit radius, to the velocity of light. It is expressed in seconds of arc by multiplying this ratio by the number of seconds of arc in 1 radian. A value of 20''·496 is now adopted.
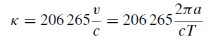
If we consider the Earth’s orbit as circular, the Earth’s distance from the Sun, a, to be 149 600 × 106 m, the number of seconds in 1 sidereal year, T, to be 31·56 × 106 and the velocity of light, c, to be 299 792·5 × 103 m s−1, we have

giving
κ = 20''·492.
In fact, the Earth’s orbit has eccentricity e = 0·016 74 and the more correct expression for κ is
............(1)
we may write
..........(2)
where P is the solar parallax (measured in seconds of arc) and R⊕ is the Earth’s radius. By equations (1) and (2), we have
..........(4)
The quantities on the right-hand side of this expression being known accurately, it was formerly thought that the accurate measurement of κ would enable an accurate value to be obtained for the solar parallax and hence of the scale of the Solar System. Unfortunately the measurement of κ, by means of meridian circle observations in which the observed declinations of stars were found, is tied in with a phenomenon called the variation of latitude. The Earth’s crust shifts slightly with respect to the Earth’s axis of rotation so that the latitude of an observatory is not quite fixed. Modern methods of measuring the solar parallax and the value of the astronomical unit by radar are much more accurate and so the expression is best used to determine a value of κ from a knowledge of P.
In The Astronomical Almanac and other almanacs, tables are provided enabling the observer to allow for the effects of aberration on the right ascension and declination of the stars. Quantities C and D, depending upon the Sun’s longitude, are given for every day of the year. Then if (α, δ) and (α1, δ1) are the equatorial coordinates of the positions of the star unaffected and affected by aberration,
α1 − α = Cc + Dd
δ1 − δ = Cc' + Dd'
where c, d, c', d' are functions of the star’s coordinates.
الاكثر قراءة في مواضيع عامة في علم الفلك
اخر الاخبار
اخبار العتبة العباسية المقدسة
الآخبار الصحية

قسم الشؤون الفكرية يصدر كتاباً يوثق تاريخ السدانة في العتبة العباسية المقدسة
"المهمة".. إصدار قصصي يوثّق القصص الفائزة في مسابقة فتوى الدفاع المقدسة للقصة القصيرة
(نوافذ).. إصدار أدبي يوثق القصص الفائزة في مسابقة الإمام العسكري (عليه السلام)