علم الكيمياء
تاريخ الكيمياء والعلماء المشاهير
التحاضير والتجارب الكيميائية
المخاطر والوقاية في الكيمياء
اخرى
مقالات متنوعة في علم الكيمياء
كيمياء عامة
الكيمياء التحليلية
مواضيع عامة في الكيمياء التحليلية
التحليل النوعي والكمي
التحليل الآلي (الطيفي)
طرق الفصل والتنقية
الكيمياء الحياتية
مواضيع عامة في الكيمياء الحياتية
الكاربوهيدرات
الاحماض الامينية والبروتينات
الانزيمات
الدهون
الاحماض النووية
الفيتامينات والمرافقات الانزيمية
الهرمونات
الكيمياء العضوية
مواضيع عامة في الكيمياء العضوية
الهايدروكاربونات
المركبات الوسطية وميكانيكيات التفاعلات العضوية
التشخيص العضوي
تجارب وتفاعلات في الكيمياء العضوية
الكيمياء الفيزيائية
مواضيع عامة في الكيمياء الفيزيائية
الكيمياء الحرارية
حركية التفاعلات الكيميائية
الكيمياء الكهربائية
الكيمياء اللاعضوية
مواضيع عامة في الكيمياء اللاعضوية
الجدول الدوري وخواص العناصر
نظريات التآصر الكيميائي
كيمياء العناصر الانتقالية ومركباتها المعقدة
مواضيع اخرى في الكيمياء
كيمياء النانو
الكيمياء السريرية
الكيمياء الطبية والدوائية
كيمياء الاغذية والنواتج الطبيعية
الكيمياء الجنائية
الكيمياء الصناعية
البترو كيمياويات
الكيمياء الخضراء
كيمياء البيئة
كيمياء البوليمرات
مواضيع عامة في الكيمياء الصناعية
الكيمياء الاشعاعية والنووية
Biphasic systems
المؤلف:
Peter Atkins, Tina Overton, Jonathan Rourke, Mark Weller, and Fraser Armstrong
المصدر:
Shriver and Atkins Inorganic Chemistry ,5th E
الجزء والصفحة:
ص719-720
2025-10-20
54
Biphasic systems
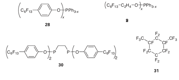
Key point: Biphasic systems offer another way of combining the selectivity of homogeneous catalysts with the ease of separation of heterogeneous catalysts. Another popular method of attempting to combine the best of both homogeneous and heterogeneous catalysts has been the use of two liquid phases that are not miscible at room temperature but are miscible at higher temperatures. The existence of immiscible aqueous/ organic phases together with a compound that facilitates the transfer of reagents between the two phases will be familiar; two other systems worthy of note are ionic liquids and the ‘fluorous biphase’ system. Ionic liquids are typically derived from 1,3-dialkylimidazolium cations (27) with counter ions such as PF-6, BF-4, and CF3SO-3. These systems have melting points of less than (and often much less than) 100ºC, a very low viscosity, and an effectively zero vapour pressure. If it can be arranged that the catalysts are preferentially soluble in the ionic phase (for instance, by making them ionic), immiscible organic solvents can be used to extract organic products. As an example, consider the hydroformylation of alkenes by a Rh cata lyst with phosphine ligands. When the ligand used is triphenylphosphine, the catalyst is extracted from the ionic liquid together with the products. However, when an ionic sulfonated triphenylphosphine is used as the ligand, the catalyst remains in the ionic liquid and product separation from the catalyst is complete. It should be borne in mind that the ionic liquid phase is not always unreactive, and may induce alternative reactions. The fluorous biphase system, which typically consists of a fluorinated hydrocarbon and a ‘normal’ organic solvent such as methylbenzene, offers two principal advantages over aqueous/organic phases: the fluorous phase is unreactive, so sensitive groups (such as hydrolytically unstable groups) are stable in it, and polyfluorinated and hydrocarbon solvents, which are not miscible at room temperatures, become so on heating, giving rise to a gen- uinely homogeneous system. A catalyst that contains polyfluorinated groups is preferentially
retained in the fluorous solvent, with the reactants (and products) preferentially soluble in the hydrocarbon phase. Figure 26.29 indicates the type of sequence that is used. Separation of the products from the catalyst becomes a trivial matter of decanting one liquid from another. A number of ligand systems that confer fluorous solubility on a catalyst have been developed; typically, they are phosphine based such as (28), (29), and (30). Rhodium- and Pd-based catalysts of these ligands have then been prepared. With a fluorous solvent such as perfluoro-1,3-dimethylcyclohexane (31), miscibility with an organic phase can be achieved at 70ºC, and catalysts have been used in hydrogenation (Section 26.4), hydroformylation (Section 26.5), and hydroboration reactions.
Figure 26.29 The sequence of processes that occurs during the use of a fluorous biphase catalyst
الاكثر قراءة في مواضيع عامة في الكيمياء العضوية
اخر الاخبار
اخبار العتبة العباسية المقدسة

الآخبار الصحية
