دائرة كهربائية تحتوي على مقاومة
المؤلف:
وفاء السواح
المصدر:
أساسيات الكهربائية التيارية
الجزء والصفحة:
.....
17-7-2016
2785
دائرة كهربائية تحتوي على مقاومة
اذا كان لدينا دائرة كهربائية تتكون من مقاومةR و مصدر جهد متردد متصلين على التوالي كما بالشكل

فأن معادلة فرق الجهد تعطي من:
E = Em sin ωt (1)
و تكون قيمة التيار الذي يمر عبر المقاومة R هو
(2)
حيث أن
Im = Em / R
بمقارنة المعادلتين (1) و (2) نلاحظ أنه لا يوجد فرق في الطور بين الجهد و التيار. و يمكن تمثيل ذلك من خلال الشكل الآتي

القدرة التي تستهلكها المقاومة
تعطي القدرة من المعادلة
P = E I (3)
(4)
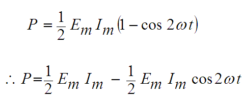
و من قوانين حساب المثلثات نجد أن:
(5)
من الملاحظ من هذه أن القدرة تتكون من حدين:

إذن القدرة في دورة كاملة تعطي من
(6)
و الشكل الآتي يوضح تغير القدرة في دورة كاملة.

الاكثر قراءة في الكهربائية
اخر الاخبار
اخبار العتبة العباسية المقدسة