حلقة كهربائية دائرية من السلك
المؤلف:
فريدريك بوش ، دافيد جيرد
المصدر:
اساسيات الفيزياء
الجزء والصفحة:
الفصل 19
25-1-2016
2793
حلقة كهربائية دائرية من السلك
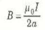
سنفترض أن لدينا حلقة دائرية من السلك ، تحمل تياراً I كما يوضح الشكل (1 أ) ويوضح خطوط المجال بتفصيل أكبر في الجزء (ب) من الشكل. فإذا كان نصف قطر الحلقة a ، يكون مقدار المجال عند مركز الحلقة هو
(1) 
وعليك تذكر أن هذه المعادلة لا تنطبق إلا على نقطة وحيدة عند مركز الحلقة. اما الملف الذي يحتوي على عدد N حلقة متراصة بإحكام إلى بعضها البعض في مستوى ، فإنه ينتج عند مركزه مجالاً أكبر من المذكور في المعادلة (1) N مرة.

الاكثر قراءة في الكهربائية
اخر الاخبار
اخبار العتبة العباسية المقدسة