

تاريخ الرياضيات

الاعداد و نظريتها

تاريخ التحليل

تار يخ الجبر

الهندسة و التبلوجي


الرياضيات في الحضارات المختلفة

العربية

اليونانية

البابلية

الصينية

المايا

المصرية

الهندية


الرياضيات المتقطعة

المنطق

اسس الرياضيات

فلسفة الرياضيات

مواضيع عامة في المنطق


الجبر

الجبر الخطي

الجبر المجرد

الجبر البولياني

مواضيع عامة في الجبر

الضبابية

نظرية المجموعات

نظرية الزمر

نظرية الحلقات والحقول

نظرية الاعداد

نظرية الفئات

حساب المتجهات

المتتاليات-المتسلسلات

المصفوفات و نظريتها

المثلثات


الهندسة

الهندسة المستوية

الهندسة غير المستوية

مواضيع عامة في الهندسة

التفاضل و التكامل


المعادلات التفاضلية و التكاملية

معادلات تفاضلية

معادلات تكاملية

مواضيع عامة في المعادلات


التحليل

التحليل العددي

التحليل العقدي

التحليل الدالي

مواضيع عامة في التحليل

التحليل الحقيقي

التبلوجيا

نظرية الالعاب

الاحتمالات و الاحصاء

نظرية التحكم

بحوث العمليات

نظرية الكم

الشفرات

الرياضيات التطبيقية

نظريات ومبرهنات


علماء الرياضيات

500AD

500-1499

1000to1499

1500to1599

1600to1649

1650to1699

1700to1749

1750to1779

1780to1799

1800to1819

1820to1829

1830to1839

1840to1849

1850to1859

1860to1864

1865to1869

1870to1874

1875to1879

1880to1884

1885to1889

1890to1894

1895to1899

1900to1904

1905to1909

1910to1914

1915to1919

1920to1924

1925to1929

1930to1939

1940to the present

علماء الرياضيات

الرياضيات في العلوم الاخرى

بحوث و اطاريح جامعية

هل تعلم

طرائق التدريس

الرياضيات العامة

نظرية البيان
Topological Spaces-Metric Spaces
المؤلف:
David R. Wilkins
المصدر:
Algebraic Topology
الجزء والصفحة:
1-3
22-9-2016
2260
Definition A metric space (X, d) consists of a set X together with a distance function d: X × X → [0, +∞) on X satisfying the following axioms:
(i) d(x, y) ≥ 0 for all x, y ∈ X,
(ii) d(x, y) = d(y, x) for all x, y ∈ X,
(iii) d(x, z) ≤ d(x, y) + d(y, z) for all x, y, z ∈ X,
(iv) d(x, y) = 0 if and only if x = y.
The quantity d(x, y) should be thought of as measuring the distance between the points x and y. The inequality d(x, z) ≤ d(x,y)+d(y, z) is referred to as the Triangle Inequality. The elements of a metric space are usually referred to as points of that metric space.
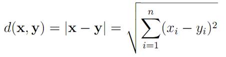
An n-dimensional Euclidean space Rn is a metric space with with respectto the Euclidean distance function d, defined by

for all x, y ∈ Rn. Any subset X of Rn may be regarded as a metric space whose distance function is the restriction to X of the Euclidean distance function on R n defined above.
Definition: Let (X, d) be a metric space. Given a point x of X and r ≥ 0, the open ball BX(x, r) of radius r about x in X is defined by
BX(x, r) ≡ {x΄ ∈ X : d(x΄, x) < r}.
Definition: Let (X, d) be a metric space. A subset V of X is said to be an open set if and only if the following condition is satisfied:
• given any point v of V there exists some δ > 0 such that BX(v, δ) ⊂ V .
By convention, we regard the empty set ∅ as being an open subset of X.
(The criterion given above is satisfied vacuously in this case.)
Lemma 1.1 Let X be a metric space with distance function d, and let x0 be a point of X. Then, for any r > 0, the open ball BX(x0, r) of radius r about
x0 is an open set in X.
Proof Let x ∈ BX(x0, r). We must show that there exists some δ > 0 such that BX(x, δ) ⊂ BX(x0, r). Now d(x, x0) < r, and hence δ > 0, where
δ = r − d(x, x0). Moreover if x΄ ∈ BX(x, δ) then
d(x΄, x0) ≤ d(x΄, x) + d(x, x0) < δ + d(x, x0) = r,
by the Triangle Inequality, hence x΄ ∈ BX(x0, r). Thus BX(x, δ) ⊂ BX(x0, r), showing that BX(x0, r) is an open set, as required.
Proposition 1.2 Let X be a metric space. The collection of open sets in X has the following properties:—
(i) the empty set ∅ and the whole set X are both open sets;
(ii) the union of any collection of open sets is itself an open set;
(iii) the intersection of any finite collection of open sets is itself an open set.
Proof The empty set ∅ is an open set by convention. Moreover the definition of an open set is satisfied trivially by the whole set X. Thus (i) is satisfied.
Let A be any collection of open sets in X, and let U denote the union of all the open sets belonging to A. We must show that U is itself an open set.
Let x ∈ U. Then x ∈ V for some open set V belonging to the collection A. Therefore there exists some δ > 0 such that BX(x, δ) ⊂ V . But V ⊂ U, and thus BX(x, δ) ⊂ U. This shows that U is open. Thus (ii) is satisfied.
Finally let V1, V2, V3, . . . , Vk be a finite collection of open sets in X, and let V = V1 ∩ V2 ∩ · · · ∩ Vk. Let x ∈ V . Now x ∈ Vj for all j, and therefore there exist strictly positive real numbers δ1, δ2, . . . , δk such that BX(x, δj ) ⊂ Vj for j = 1, 2, . . . , k. Let δ be the minimum of δ1, δ2, . . . , δk. Then δ > 0.
(This is where we need the fact that we are dealing with a finite collection of open sets.) Moreover BX(x, δ) ⊂ BX(x, δj ) ⊂ Vj for j = 1, 2, . . . , k, and thus BX(x, δ) ⊂ V . This shows that the intersection V of the open sets V1, V2, . . . , Vk is itself open. Thus (iii) is satisfied.
Any metric space may be regarded as a topological space. Indeed let X be a metric space with distance function d. We recall that a subset V of X is an open set if and only if, given any point v of V , there exists some δ > 0 such that {x ∈ X : d(x, v) < δ} ⊂ V . Proposition 1.2 shows that the topological space axioms are satisfied by the collection of open sets in any metric space. We refer to this collection of open sets as the topology generated by the distance function d on X.
الاكثر قراءة في التبلوجيا
اخر الاخبار
اخبار العتبة العباسية المقدسة
الآخبار الصحية

قسم الشؤون الفكرية يصدر كتاباً يوثق تاريخ السدانة في العتبة العباسية المقدسة
"المهمة".. إصدار قصصي يوثّق القصص الفائزة في مسابقة فتوى الدفاع المقدسة للقصة القصيرة
(نوافذ).. إصدار أدبي يوثق القصص الفائزة في مسابقة الإمام العسكري (عليه السلام)