
تاريخ الفيزياء

علماء الفيزياء


الفيزياء الكلاسيكية

الميكانيك

الديناميكا الحرارية


الكهربائية والمغناطيسية

الكهربائية

المغناطيسية

الكهرومغناطيسية


علم البصريات

تاريخ علم البصريات

الضوء

مواضيع عامة في علم البصريات

الصوت


الفيزياء الحديثة


النظرية النسبية

النظرية النسبية الخاصة

النظرية النسبية العامة

مواضيع عامة في النظرية النسبية

ميكانيكا الكم

الفيزياء الذرية

الفيزياء الجزيئية


الفيزياء النووية

مواضيع عامة في الفيزياء النووية

النشاط الاشعاعي


فيزياء الحالة الصلبة

الموصلات

أشباه الموصلات

العوازل

مواضيع عامة في الفيزياء الصلبة

فيزياء الجوامد


الليزر

أنواع الليزر

بعض تطبيقات الليزر

مواضيع عامة في الليزر


علم الفلك

تاريخ وعلماء علم الفلك

الثقوب السوداء


المجموعة الشمسية

الشمس

كوكب عطارد

كوكب الزهرة

كوكب الأرض

كوكب المريخ

كوكب المشتري

كوكب زحل

كوكب أورانوس

كوكب نبتون

كوكب بلوتو

القمر

كواكب ومواضيع اخرى

مواضيع عامة في علم الفلك

النجوم

البلازما

الألكترونيات

خواص المادة


الطاقة البديلة

الطاقة الشمسية

مواضيع عامة في الطاقة البديلة

المد والجزر

فيزياء الجسيمات


الفيزياء والعلوم الأخرى

الفيزياء الكيميائية

الفيزياء الرياضية

الفيزياء الحيوية

الفيزياء والفلسفة

الفيزياء العامة


مواضيع عامة في الفيزياء

تجارب فيزيائية

مصطلحات وتعاريف فيزيائية

وحدات القياس الفيزيائية

طرائف الفيزياء

مواضيع اخرى
المتجه الرباعي
المؤلف:
د. حسون. ناظم احمد ، د. شاحوت. عياد مفتاح و د. ابراهيم. بثينة عبد المنعم
المصدر:
النظرية النسبية الخاصة
الجزء والصفحة:
ص135
21-4-2016
2732
المتجه الرباعي
اي حدث مثل انبعاث اشارة ضوئية يمكن ان يوصف بموضعه (x, y, z) وبالزمن t حيث وقع الحدث. هذه المتغيرات الاربعة يمكن توحيدها بتعبير واحد أو علاقة منفردة تبقى دون تغيير فيما يخص تحويلات لورنس، اي انها لا تتغير بالنسبة لجميع محاور الاسناد. ان هذا النوع من التعبير يصبح مفيدا اذا ما اردنا معرفة كميات اخرى مماثلة في الميكانيك او في مواضيع الألكتروداينمك.
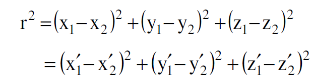
لترجع مرة اخرى الى تحويلات غاليليو فنلاحظ ان المسافة r2 بين نقطتين (x1,y1,z1) و (x2,y2,z2) تبقى دون تغيير بالنسبة لمحاور الاسناد اي ان :

فاذا كانت النقطة (1) مثبتة في محور الاسناد s والنقطة (2) مثبتة في محور الاسناد sʹ تصبح r دالة للزمن، فنقول عندئذ ان r تبقى دون تغيير لان تحديدها يتم بدقة تحت التعبير نفسه في كلا محوري الاسناد. من الممكن ان نبين الان وبسهولة ان r لا تكون لها القيمة نفسها اي انها تتغير بالنسبة لتحويلات لورنس.
لنتصور وميضا ضوئيا انبعث من مصدر نقطي من نقطة الاصل o في اللحظة التي كانت فيها oʹ منطبقة على o. ان الضوء ينتقل من جميع الجهات وبسرعة c لكلا المحورين s و sʹ وعليه يكون :
(1.1)
يصل الضوء الى النقطة (x, y, z) في زمن t ويصل الى النقطة (xʹ, yʹ, zʹ) في زمن tʹ فيكون لدينا :

وبصورة عامة نرى ان الاحداثيات (x, y, z) و (xʹ, yʹ, zʹ) لأي حدث منفرد ترتبط مع بعضهما بعلاقة واحدة هي :

أو :
(1.2)
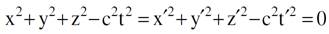
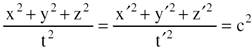
فالكمية x2 + y2 + z2 – c2 t2 تبقى اذن دون تغيير تحت تحويلات لورنس. ان هذه الخاصية في الارتباط بين الاحداثيات الاربعة (x, y, z, t) تخضع بصورة مباشرة الى ه النوع من التحويلات.
وعليه فان اية مجموعة تتألف من اربع كميات تتحول بالطريقة نفسها التي تتحول بها الكميات (x, y, z, t) تظهر كمية مطابقة تبقى دون تغيير. ان مثل هذه الزمرة او المجموعة المكونة من كميات أربع يطلق عليها المتجه الرباعي.
قبل ان نبدأ بدراسة التمثيل الهندسي لتحويلات لورنس واستخدام المتجهات الرباعية علينا ان نعرف اولا ماذا يحدث لمتجه الموضع
ومقدارهr عندما تدور مجموعة من الاحداثيات (x, y, z) حول احداثي معين هو z بزاوية مقدارها θ لتتحول الى مجموعة اخرى من الاحداثيات ((xʹ, yʹ, zʹ

الشكل (1.1) : تحويل في ثلاثة ابعاد يسمى بالتحويل التعامدي، زاوية الدوران θ هي زاوية حقيقية.
ان تحويل الاحداثيات بواسطة هذا النوع من الدوران يوصف بالمعادلات الاتية، لاحظ الشكل (1.1):
(1.3)
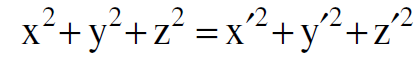
ان هذا التحويل الذي يبين عملية دوران الاحداثيات حول المحور z بزاوية θ حيث تحول الاحداثيات x, y يبقى مقدار المتجه
دون تغيير اذ من الممكن ان نحصل من المعادلات (1.3) على العلاقة الاتية :

المعادلات (1.3) هي مثال لعملية تحويل في ثلاثة ابعاد يطلق عليه التحويل التعامدي. وهو تحويل حقيقي يترك مقدار المتجه
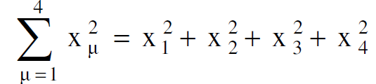
دون تغيير. ومن الممكن استخدام هذه الطريقة لتشمل ابعادا اربعة اذا اعتبرنا الكمية x2 + y2 + z2 – c2 t2 تمثل مربع بعد في احداثيات الفضاء والزمن. وعليه تعرف الاحداثيات الاربعة هذه كالاتي:

حيث ان
تكتب الكمية اذن على النحو الآتي :
(1.4)
وهذه الكمية تبقى دون تغيير بالنسبة لتحويلات لورنس تحت شروط معينة. وتجدر الاشارة في هذا المجال الى ان الفضاء ذا الابعاد الاربعة يسمى كذلك فضاء "منكوسكي" نسبة الى العالم منكوسكي الذي أوجد مخططا لهذا الفضاء وقام بدراسته بصورة تفصيلية. في هذا الفضاء تعامل تحويلات لورنس على انها تحويل تعامدي والكمية المحددة بالإحداثيات x1,x2,x3,x4)) هي مركبات لمتجه رباعي في الفضاء ذي الابعاد الاربعة.
الاكثر قراءة في النظرية النسبية الخاصة
اخر الاخبار
اخبار العتبة العباسية المقدسة
الآخبار الصحية

قسم الشؤون الفكرية يصدر كتاباً يوثق تاريخ السدانة في العتبة العباسية المقدسة
"المهمة".. إصدار قصصي يوثّق القصص الفائزة في مسابقة فتوى الدفاع المقدسة للقصة القصيرة
(نوافذ).. إصدار أدبي يوثق القصص الفائزة في مسابقة الإمام العسكري (عليه السلام)