

علم الكيمياء

تاريخ الكيمياء والعلماء المشاهير

التحاضير والتجارب الكيميائية

المخاطر والوقاية في الكيمياء

اخرى

مقالات متنوعة في علم الكيمياء

كيمياء عامة


الكيمياء التحليلية

مواضيع عامة في الكيمياء التحليلية

التحليل النوعي والكمي

التحليل الآلي (الطيفي)

طرق الفصل والتنقية


الكيمياء الحياتية

مواضيع عامة في الكيمياء الحياتية

الكاربوهيدرات

الاحماض الامينية والبروتينات

الانزيمات

الدهون

الاحماض النووية

الفيتامينات والمرافقات الانزيمية

الهرمونات


الكيمياء العضوية

مواضيع عامة في الكيمياء العضوية

الهايدروكاربونات

المركبات الوسطية وميكانيكيات التفاعلات العضوية

التشخيص العضوي

تجارب وتفاعلات في الكيمياء العضوية


الكيمياء الفيزيائية

مواضيع عامة في الكيمياء الفيزيائية

الكيمياء الحرارية

حركية التفاعلات الكيميائية

الكيمياء الكهربائية


الكيمياء اللاعضوية

مواضيع عامة في الكيمياء اللاعضوية

الجدول الدوري وخواص العناصر

نظريات التآصر الكيميائي

كيمياء العناصر الانتقالية ومركباتها المعقدة


مواضيع اخرى في الكيمياء

كيمياء النانو

الكيمياء السريرية

الكيمياء الطبية والدوائية

كيمياء الاغذية والنواتج الطبيعية

الكيمياء الجنائية


الكيمياء الصناعية

البترو كيمياويات

الكيمياء الخضراء

كيمياء البيئة

كيمياء البوليمرات

مواضيع عامة في الكيمياء الصناعية

الكيمياء التناسقية

الكيمياء الاشعاعية والنووية
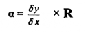
معادلة الميل The Slope
المؤلف:
أ. د محمد مجدي واصل
المصدر:
اسس الكيمياء التحليلية
الجزء والصفحة:
ص 51 -52
2023-09-13
2149
يفترض معامل الارتباط بين متغيرين أن هناك علاقة بين هذين المتغيرين ، ويعني هذا أن العلاقة الجبرية بين المتغيرين يمكن أن يعبر عنها بمعادلة خطية ( معادلة خط مستقيم من الدرجة الأولي ) فإذا كان هناك معامل ارتباط (R) بين المتغيرين, فإن العلاقة الخطية بين هذين المتغيرين تكتب على النحو التالي :
Y = a × + b
وتعتمد قيمة a على معامل الارتباط بين المتغيرين X,Y, معامل الارتباط بين المتغيرين بقيمة المتغير Y إذا ما عرفت قيمة X سابقاً ومعامل الارتباط R بين المتغيرين، ويمكن حساب قيمة a من العلاقة :

حيثδy الانحراف المعياري للمتغير δx ,y الانحراف المعياري للمتغير R,Xمعامل الارتباط بين المتغيرين X,y وتعطي قيمة b من العلاقة :

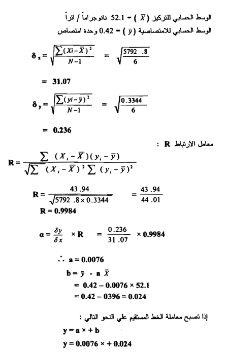
مثال ( 9 ) :-
احسب الانحراف المعياري للمتغيرين ( X y,) ومعامل الارتباط وقيم b ,a للنتائج التالية : -


الاكثر قراءة في مواضيع عامة في الكيمياء التحليلية
اخر الاخبار
اخبار العتبة العباسية المقدسة
الآخبار الصحية

قسم الشؤون الفكرية يصدر كتاباً يوثق تاريخ السدانة في العتبة العباسية المقدسة
"المهمة".. إصدار قصصي يوثّق القصص الفائزة في مسابقة فتوى الدفاع المقدسة للقصة القصيرة
(نوافذ).. إصدار أدبي يوثق القصص الفائزة في مسابقة الإمام العسكري (عليه السلام)