تاريخ الفيزياء
علماء الفيزياء
الفيزياء الكلاسيكية
الميكانيك
الديناميكا الحرارية
الكهربائية والمغناطيسية
الكهربائية
المغناطيسية
الكهرومغناطيسية
علم البصريات
تاريخ علم البصريات
الضوء
مواضيع عامة في علم البصريات
الصوت
الفيزياء الحديثة
النظرية النسبية
النظرية النسبية الخاصة
النظرية النسبية العامة
مواضيع عامة في النظرية النسبية
ميكانيكا الكم
الفيزياء الذرية
الفيزياء الجزيئية
الفيزياء النووية
مواضيع عامة في الفيزياء النووية
النشاط الاشعاعي
فيزياء الحالة الصلبة
الموصلات
أشباه الموصلات
العوازل
مواضيع عامة في الفيزياء الصلبة
فيزياء الجوامد
الليزر
أنواع الليزر
بعض تطبيقات الليزر
مواضيع عامة في الليزر
علم الفلك
تاريخ وعلماء علم الفلك
الثقوب السوداء
المجموعة الشمسية
الشمس
كوكب عطارد
كوكب الزهرة
كوكب الأرض
كوكب المريخ
كوكب المشتري
كوكب زحل
كوكب أورانوس
كوكب نبتون
كوكب بلوتو
القمر
كواكب ومواضيع اخرى
مواضيع عامة في علم الفلك
النجوم
البلازما
الألكترونيات
خواص المادة
الطاقة البديلة
الطاقة الشمسية
مواضيع عامة في الطاقة البديلة
المد والجزر
فيزياء الجسيمات
الفيزياء والعلوم الأخرى
الفيزياء الكيميائية
الفيزياء الرياضية
الفيزياء الحيوية
الفيزياء العامة
مواضيع عامة في الفيزياء
تجارب فيزيائية
مصطلحات وتعاريف فيزيائية
وحدات القياس الفيزيائية
طرائف الفيزياء
مواضيع اخرى
The Fed-Dirac Integral
المؤلف:
Donald A. Neamen
المصدر:
Semiconductor Physics and Devices
الجزء والصفحة:
p 125
20-5-2017
1473
The Fed-Dirac Integral
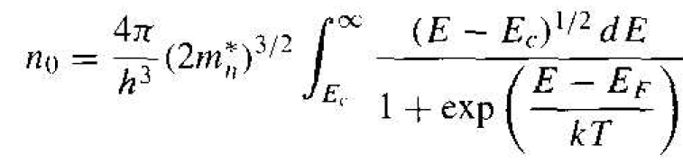
We assumed that the Boltzmann approximation was valid. If the Boltzmann approximation does not hold, as
(1)
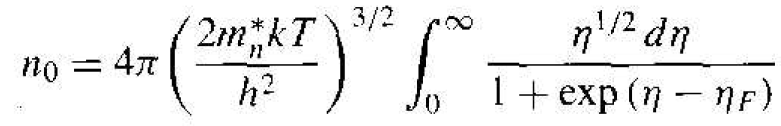
If we again make a change of variable and let
(2a)
and also define
(2b)
then we can rewrite Equation (1) as
(3)
The integral is defined as
(4)
Figure 1.1 The Fermi-Dirac integral F1/2 as a function of the Fermi energy.
This function, called the Fermi-Dirac integral, is a tabulated function of the variable ηF. Figure 1.1 is a plot of the Fermi-Dirac integral. Note that if ηF > 0, then EF > Ec; thus the Fermi energy is actually in the conduction hand.
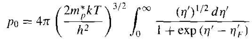
We may use the same general method to calculate the thermal equilibrium con centration of holes, We obtain
(5)
where
(6a)
and
(6b)
The integral in Equation (5) is the same Fermi-Dirac integral defined by Equation (4) although the variables have slightly different definitions. We may note that if η'F > 0, then the Fermi level is in the valence hand.
الاكثر قراءة في مواضيع عامة في الفيزياء الصلبة
اخر الاخبار
اخبار العتبة العباسية المقدسة

الآخبار الصحية
