
تاريخ الفيزياء

علماء الفيزياء


الفيزياء الكلاسيكية

الميكانيك

الديناميكا الحرارية


الكهربائية والمغناطيسية

الكهربائية

المغناطيسية

الكهرومغناطيسية


علم البصريات

تاريخ علم البصريات

الضوء

مواضيع عامة في علم البصريات

الصوت


الفيزياء الحديثة


النظرية النسبية

النظرية النسبية الخاصة

النظرية النسبية العامة

مواضيع عامة في النظرية النسبية

ميكانيكا الكم

الفيزياء الذرية

الفيزياء الجزيئية


الفيزياء النووية

مواضيع عامة في الفيزياء النووية

النشاط الاشعاعي


فيزياء الحالة الصلبة

الموصلات

أشباه الموصلات

العوازل

مواضيع عامة في الفيزياء الصلبة

فيزياء الجوامد


الليزر

أنواع الليزر

بعض تطبيقات الليزر

مواضيع عامة في الليزر


علم الفلك

تاريخ وعلماء علم الفلك

الثقوب السوداء


المجموعة الشمسية

الشمس

كوكب عطارد

كوكب الزهرة

كوكب الأرض

كوكب المريخ

كوكب المشتري

كوكب زحل

كوكب أورانوس

كوكب نبتون

كوكب بلوتو

القمر

كواكب ومواضيع اخرى

مواضيع عامة في علم الفلك

النجوم

البلازما

الألكترونيات

خواص المادة


الطاقة البديلة

الطاقة الشمسية

مواضيع عامة في الطاقة البديلة

المد والجزر

فيزياء الجسيمات


الفيزياء والعلوم الأخرى

الفيزياء الكيميائية

الفيزياء الرياضية

الفيزياء الحيوية

الفيزياء والفلسفة

الفيزياء العامة


مواضيع عامة في الفيزياء

تجارب فيزيائية

مصطلحات وتعاريف فيزيائية

وحدات القياس الفيزيائية

طرائف الفيزياء

مواضيع اخرى
Equilibrium Distribution of Electrons and Holes
المؤلف:
Donald A. Neamen
المصدر:
Semiconductor Physics and Devices
الجزء والصفحة:
p 121
20-5-2017
2424
Equilibrium Distribution of Electrons and Holes
Adding donor or acceptor impurity atoms to a semiconductor will change the distribution of electrons and holes in the material. Since the Fermi energy is related to the distribution function, the Fermi energy will change as dopant atoms are added. If the Fermi energy changes from near the midgap value, the density of electrons in the conduction band and the density of holes in the valence hand will change. These effects are shown in Figures 1.1 and 1.2. Figure 1.1 shows the case for EF > EFi and Figure 1.2 shows the case for EF < EFi. When EF > EFi, the electron concentration is larger than the hole concentration, and when EF < EFi, the hole concentration

Figure 1.1 Density of states functions. Fermi-Dirac probability function, and areas representing electron and hole concentrations for the case when EF is above the intrinsic Fermi energy.

Figure 1.2 Density of states functions, Fermi-Dirac probability function, and areas representing electron and hole concentrations for the case when EF is below the intrinsic Fermi energy.
is larger than the electron concentration. When the density of electrons 1s greater than the density of holes, the semiconductor is n type; donor impurity atom have been added. When the density of holes is greater than the density of electrons, the semiconductor is p type; acceptor impurity atoms have been added. The Fermi energy level in a semiconductor changes as the electron and hole concentrations change and, again, the Fermi energy changes as donor or acceptor impurities are added.
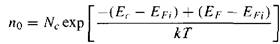
The expressions previously derived for the thermal-equilibrium concentration of electrons and holes, for n0 and p0 in terms of the Fermi energy. These equations are again given as

and

As we just discussed, the Fermi energy may vary through the handgap energy, which will then change the values of n0 and p0.
In this example, since n0 > p0, the semiconductor is n type. In an n-type semiconductor, electrons are referred to as the majority carrier and holes as the minority carrier. By comparing the relative values of n0 and p0 in the example, it is easy to see how this designation came about. Similarly, in a p-type semiconductor where p0 > n0, holes are the majority carrier and electrons are the minority carrier.
We may derive another form of the equations for the thermal-equilibrium concentrations of electrons and holes. We can write
(1a)
or
(1b)
The intrinsic carrier concentration is given by

so that the thermal-equilibrium electron concentration can be written as
(2)
Similarly, if we add and subtract an intrinsic Fermi energy in the exponent, we will obtain
(3)
As we will see, the Fermi level changes when donors and acceptors are added, but Equations (2) and (3) show that, as the Fermi level changes from the intrinsic Fermi level, n0 and p0 change from the ni value. If EF > EFi then we will have n0 > ni and p0 < ni. One characteristic of an n-type semiconductor is that EF > EFi so that n0 > p0. Similarly, in a p type semiconductor, EF < EFi SO that p0 > ni, an n0 < ni; thus p0 > n0.
We can see the functional dependence of n0 and p0 with EF in Figures 1.1 and 1.2. As EF moves above or below EFi , the overlapping probability function with the
density of states functions in the conduction band and valence band changes. As EF moves above EFi, the probability function in the conduction band increases, while'
the probability, 1 - fF(E), of an empty state (hole) in the valence band decreases. As EF moves below EFi , the opposite occurs.
الاكثر قراءة في مواضيع عامة في الفيزياء الصلبة
اخر الاخبار
اخبار العتبة العباسية المقدسة
الآخبار الصحية

قسم الشؤون الفكرية يصدر كتاباً يوثق تاريخ السدانة في العتبة العباسية المقدسة
"المهمة".. إصدار قصصي يوثّق القصص الفائزة في مسابقة فتوى الدفاع المقدسة للقصة القصيرة
(نوافذ).. إصدار أدبي يوثق القصص الفائزة في مسابقة الإمام العسكري (عليه السلام)