Equations of motion
المؤلف:
Heino Falcke and Friedrich W Hehl
المصدر:
THE GALACTIC BLACK HOLE Lectures on General Relativity and Astrophysics
الجزء والصفحة:
p 126
2-2-2017
1937
1.1 Particle motion
Consider a body which has a size much smaller than the size of a black hole such that details connected with its internal structure are not important for the problem under consideration. Such an object is usually called a particle. Often we can consider as particles planet-like objects in their Keplerian motion near a black hole, small elements of accreting matter, stellar black holes and neutron stars falling into a massive black hole, and so on. We do not consider here the more complicated case when an object moving near a black hole has internal structure and its internal degrees of freedom can be excited by tidal forces.
Particle motion in the background black hole geometry is described by a solution of the geodesic equation
(1.1)
Here uμ = dxμ/dτ is the four-velocity of a particle, τ is the proper time and Γμνλ are the Christoffel symbols
(1.2)
1.2 Schwarzschild metric
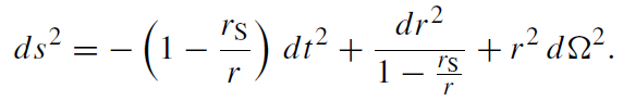
The geometry of a static non-rotating black hole is spherically symmetric and described by the Schwarzschild metric
(1.3)
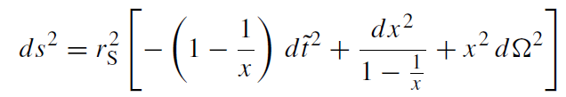
Here rS = 2M is the Schwarzschild gravitational radius, M is the black hole mass, and dΩ2 = dθ2 + sin2 θ dφ2 is the line element on the unit sphere. The gravitational radius rS is the only essential dimensional parameter. It determines all characteristic time and length scales. The metric can be rewritten in the following form:
(1.4)
where x := r/rS is a dimensionless radial coordinate and ˜t := t/rS a dimensionless time coordinate. Since the geodesic equations are scale invariant, it is sufficient to solve them for only one value of black hole mass (say for rS = 1). The solutions for other masses can be obtained simply by rescaling.
Particle trajectories near a non-rotating black hole can be found by solving the geodesic equation in the Schwarzschild geometry. A more effective way is to use the integrals of motion connected with the spacetime symmetries.
الاكثر قراءة في الثقوب السوداء
اخر الاخبار
اخبار العتبة العباسية المقدسة