علم الكيمياء
تاريخ الكيمياء والعلماء المشاهير
التحاضير والتجارب الكيميائية
المخاطر والوقاية في الكيمياء
اخرى
مقالات متنوعة في علم الكيمياء
كيمياء عامة
الكيمياء التحليلية
مواضيع عامة في الكيمياء التحليلية
التحليل النوعي والكمي
التحليل الآلي (الطيفي)
طرق الفصل والتنقية
الكيمياء الحياتية
مواضيع عامة في الكيمياء الحياتية
الكاربوهيدرات
الاحماض الامينية والبروتينات
الانزيمات
الدهون
الاحماض النووية
الفيتامينات والمرافقات الانزيمية
الهرمونات
الكيمياء العضوية
مواضيع عامة في الكيمياء العضوية
الهايدروكاربونات
المركبات الوسطية وميكانيكيات التفاعلات العضوية
التشخيص العضوي
تجارب وتفاعلات في الكيمياء العضوية
الكيمياء الفيزيائية
مواضيع عامة في الكيمياء الفيزيائية
الكيمياء الحرارية
حركية التفاعلات الكيميائية
الكيمياء الكهربائية
الكيمياء اللاعضوية
مواضيع عامة في الكيمياء اللاعضوية
الجدول الدوري وخواص العناصر
نظريات التآصر الكيميائي
كيمياء العناصر الانتقالية ومركباتها المعقدة
مواضيع اخرى في الكيمياء
كيمياء النانو
الكيمياء السريرية
الكيمياء الطبية والدوائية
كيمياء الاغذية والنواتج الطبيعية
الكيمياء الجنائية
الكيمياء الصناعية
البترو كيمياويات
الكيمياء الخضراء
كيمياء البيئة
كيمياء البوليمرات
مواضيع عامة في الكيمياء الصناعية
الكيمياء الاشعاعية والنووية
انزيمات الأكسدة والإختزال Oxidoreductases
المؤلف:
د.محمد علي سلوم و د.خليفة الصباح خليفة
المصدر:
كيمياء النبات
الجزء والصفحة:
ص 126
1-6-2016
13070
انزيمات الأكسدة والإختزال Oxidoreductases
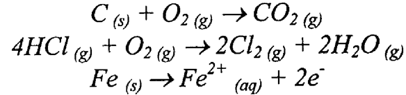
تعرف عملية الأكسدة على أنها عملية إضافة ذرات الأكسجين أو تنحية أو فقد ذرات الهيدروجين أو فقد الإلكترونات، وتعرف المادة الكيميائية التي تحدث هذا التغير سواء بإعطاء الأوكسجين أو بأخذ الهيدروجين أو أخذ الإلكترونات بالعامل المؤكسد (Oxidizing agent) ولتوضيح ذلك نذكر بعض الأمثلة التي حدث فيها أكسدة الكربون بإكتسابه الاوكسجين واكسدة غاز كلوريد الهيدروجين لفقده للهيدروجين وتأكسد الحديد بفقده للإلكترونات على التوالي
أما الاختزال فيحدث نتيجة لفقد ذرات الأكسجين او نتيجة لاكتساب الهيدروجين او اكتساب الإلكتروناتعلماً بان (s)= الحالة الصلبة و (g) = الحالة الغازية و (aq) = الحالة السائلة.
وانزيمات الاكسدة والاختزال هي الانزيمات التي تمنح الاوكسجين او الهيدروجين أو تعمل على إزالتهما مثل:
الاكثر قراءة في كيمياء البيئة
اخر الاخبار
اخبار العتبة العباسية المقدسة

الآخبار الصحية
