

علم الكيمياء

تاريخ الكيمياء والعلماء المشاهير

التحاضير والتجارب الكيميائية

المخاطر والوقاية في الكيمياء

اخرى

مقالات متنوعة في علم الكيمياء

كيمياء عامة


الكيمياء التحليلية

مواضيع عامة في الكيمياء التحليلية

التحليل النوعي والكمي

التحليل الآلي (الطيفي)

طرق الفصل والتنقية


الكيمياء الحياتية

مواضيع عامة في الكيمياء الحياتية

الكاربوهيدرات

الاحماض الامينية والبروتينات

الانزيمات

الدهون

الاحماض النووية

الفيتامينات والمرافقات الانزيمية

الهرمونات


الكيمياء العضوية

مواضيع عامة في الكيمياء العضوية

الهايدروكاربونات

المركبات الوسطية وميكانيكيات التفاعلات العضوية

التشخيص العضوي

تجارب وتفاعلات في الكيمياء العضوية


الكيمياء الفيزيائية

مواضيع عامة في الكيمياء الفيزيائية

الكيمياء الحرارية

حركية التفاعلات الكيميائية

الكيمياء الكهربائية


الكيمياء اللاعضوية

مواضيع عامة في الكيمياء اللاعضوية

الجدول الدوري وخواص العناصر

نظريات التآصر الكيميائي

كيمياء العناصر الانتقالية ومركباتها المعقدة


مواضيع اخرى في الكيمياء

كيمياء النانو

الكيمياء السريرية

الكيمياء الطبية والدوائية

كيمياء الاغذية والنواتج الطبيعية

الكيمياء الجنائية


الكيمياء الصناعية

البترو كيمياويات

الكيمياء الخضراء

كيمياء البيئة

كيمياء البوليمرات

مواضيع عامة في الكيمياء الصناعية

الكيمياء التناسقية

الكيمياء الاشعاعية والنووية
الجبريلينات Gibberellins
المؤلف:
د.محمد علي سلوم و د.خليفة الصباح خليفة
المصدر:
كيمياء النبات
الجزء والصفحة:
ص 221
8-5-2016
12719
الجبريلينات Gibberellins
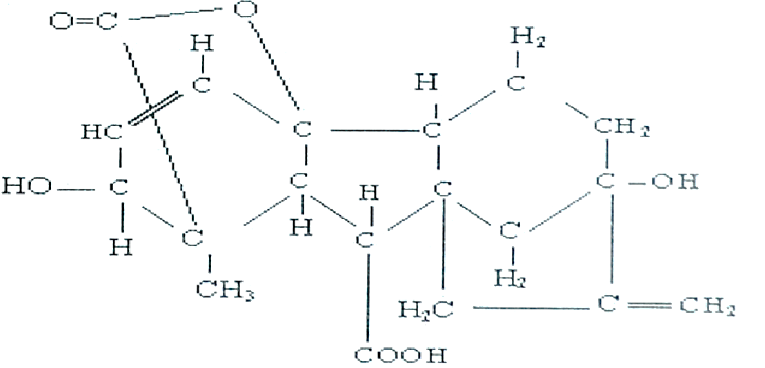
الجبريلينات إحدى هرمونات النمو وجدت في البداية على شكل مواد استقلابية لفطر Giccerella Fujkuroi الذي يتطفل على نبات الأرز، فقد لاحظوا تنامياً في طول نبات الأرز المتطفل عليه الفطر المذكور بالمقارنة مع النباتات السليمة ، وفيما بعد أمكن عزل مركبات الجبريلين المختلفة من النباتات الراقية وسميت بالجبريلين A1 ، A2 ، A3 ... الخ والتراكيب الكيميائي لهذه الجبريلينات موضحة في الشكل 1-1. وعادة تتشكل الجبريلينات في نهاية الأفرع والأوراق الفتية والجذور النامية والبذور غير الناضجة، والبراعم هي الأكثر غناً من بقية أعضاء النبات، ويغد اللحاء الطريق الرئيسي لمرور هذه المركبات من الأوراق إلى باقي أجزاء النبات لذلك فإن سرعة مرور مركبات الجبريلين تعادل سرعة النسغ الكامل، وقد وجد أن سرعة حمض الجبريلين في النسخ المرستيمية ونسج الكامبيوم تعادل 20-5 ملم في الساعة وهذه الحركة تتطلب كمية من الطاقة. اما الصيغة التركيبية لحمض الجبريلين A3 فهي:

التركيب الكيميائي لحمض الجبريلين ــ A3

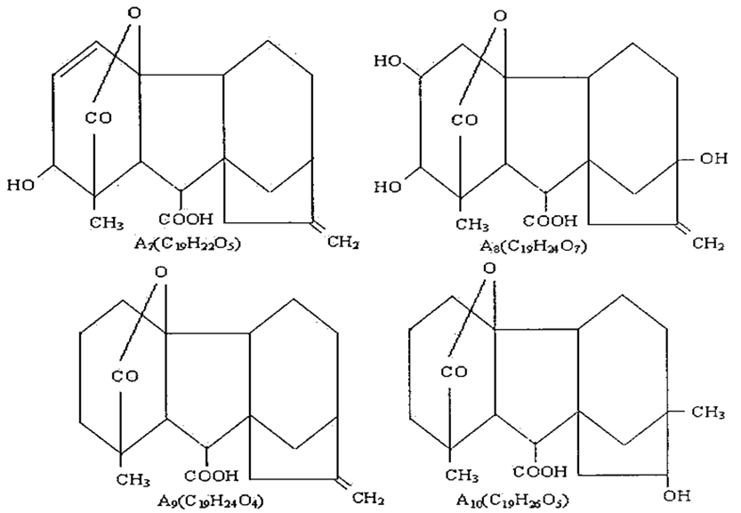
شكل 1-1 : التراكيب الكيميائية لبعض الجبريلينات

تابع 1-1: التراكيب الكيميائي لبعض الجبريلينات

تابع 1-1: التراكيب الكيميائي لبعض الجبريلينات
الاكثر قراءة في كيمياء البيئة
اخر الاخبار
اخبار العتبة العباسية المقدسة
الآخبار الصحية

قسم الشؤون الفكرية يصدر كتاباً يوثق تاريخ السدانة في العتبة العباسية المقدسة
"المهمة".. إصدار قصصي يوثّق القصص الفائزة في مسابقة فتوى الدفاع المقدسة للقصة القصيرة
(نوافذ).. إصدار أدبي يوثق القصص الفائزة في مسابقة الإمام العسكري (عليه السلام)