
تاريخ الفيزياء

علماء الفيزياء


الفيزياء الكلاسيكية

الميكانيك

الديناميكا الحرارية


الكهربائية والمغناطيسية

الكهربائية

المغناطيسية

الكهرومغناطيسية


علم البصريات

تاريخ علم البصريات

الضوء

مواضيع عامة في علم البصريات

الصوت


الفيزياء الحديثة


النظرية النسبية

النظرية النسبية الخاصة

النظرية النسبية العامة

مواضيع عامة في النظرية النسبية

ميكانيكا الكم

الفيزياء الذرية

الفيزياء الجزيئية


الفيزياء النووية

مواضيع عامة في الفيزياء النووية

النشاط الاشعاعي


فيزياء الحالة الصلبة

الموصلات

أشباه الموصلات

العوازل

مواضيع عامة في الفيزياء الصلبة

فيزياء الجوامد


الليزر

أنواع الليزر

بعض تطبيقات الليزر

مواضيع عامة في الليزر


علم الفلك

تاريخ وعلماء علم الفلك

الثقوب السوداء


المجموعة الشمسية

الشمس

كوكب عطارد

كوكب الزهرة

كوكب الأرض

كوكب المريخ

كوكب المشتري

كوكب زحل

كوكب أورانوس

كوكب نبتون

كوكب بلوتو

القمر

كواكب ومواضيع اخرى

مواضيع عامة في علم الفلك

النجوم

البلازما

الألكترونيات

خواص المادة


الطاقة البديلة

الطاقة الشمسية

مواضيع عامة في الطاقة البديلة

المد والجزر

فيزياء الجسيمات


الفيزياء والعلوم الأخرى

الفيزياء الكيميائية

الفيزياء الرياضية

الفيزياء الحيوية

الفيزياء والفلسفة

الفيزياء العامة


مواضيع عامة في الفيزياء

تجارب فيزيائية

مصطلحات وتعاريف فيزيائية

وحدات القياس الفيزيائية

طرائف الفيزياء

مواضيع اخرى
SATURATION
المؤلف:
Mark Csele
المصدر:
FUNDAMENTALS OF LIGHT SOURCES AND LASERS
الجزء والصفحة:
p146
16-3-2016
2539
SATURATION
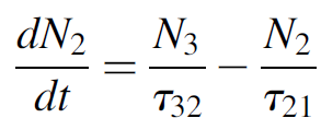
Is a steady-state analysis assuming no (or very little) radiation in the cavity. Consider the rate equation for the ULL of a three-level laser given by:

This equation factors in decay from the pump level (N3/τ32) as a source of positive change (a gain in population at this level) as well as decay via the lasing transition (N2/τ21), but nowhere does it account for stimulated processes.
If radiation is present in the cavity, stimulated emission will occur at the rate of N2W21, and this will represent a loss. There will also be a process of absorption (really, a stimulated process opposite to stimulated emission, since it required a photon flux to be present) at a rate of N1W12 in the opposite direction as photons are absorbed and the energy is used to pump atoms in the LLL back to the ULL. Rate equations must now be rewritten to include these new terms, and it will be noted that as the photon flux increases, the amount of inversion (i.e., the difference in population between the two lasing levels) will decrease, as will gain of the laser!
In a laser, then, gain is not a constant value but rather varies with incident (or, in a practical laser, circulating) power. Imagining the laser gain medium as an amplifier, the gain is quite large. This is termed the small-signal value, in which the ULL is well populated and is replenished continually by pumping, so that the population does not change appreciably (in other words, the rate of pumping is large enough to keep the level ULL populated and to keep inversion large. As the input signal to the amplifier reaches a large value, the photon flux is large enough to depopulate the ULL, which then lowers the overall gain in the device since fewer excited atoms will be available at that level to contribute to the stimulated emission process. This results in a saturated gain figure in which the gain is reduced by large photon fluxes in the cavity.
We recall that gain is an increase in power for a given distance traveled through the laser amplifier medium. In a normal laser amplifier we would expect power to increase exponentially with length according to
Poutput = Pinput exp(g0l) (1.1)
where g0 is the small-signal gain of the laser amplifier and l is the length of the amplifier. This represents the maximum gain that a laser amplifier can deliver, but as the amplifier saturates, eventually the power increase is a linear function of power according to
Poutput = Pinput + g0l (1.2)
Clearly, a saturated amplifier delivers less “bang for the buck” than is delivered by an unsaturated amplifier! Also, a high-gain laser (e.g., a YAG or CO2) suffers a greater decrease in potential output power due to saturation than a low-gain laser such as a He Ne does (but luckily, it takes more power to saturate many of these amplifiers, as we shall see in this section).
The gain of a saturated system is obviously dependent on the photon flux inside the cavity since it is these photons that generate the stimulated emissions which serve to deplete the ULL and hence decrease gain. The saturated gain is then
(1.3)
where g0 is the unsaturated gain of the amplifier, ρ the photon flux in the system, and ρsat is called the saturation flux. Either photon flux may be calculated from intensities (in W/m2) measured experimentally or calculated.
The input intensity required to reduce the gain to one-half the initial (unsaturated) value is termed the saturation intensity. In terms of intensity, we know the energy of each photon and so may calculate the intensity of the input to the amplifier to decrease gain to one-half of the small-signal value as
(1.4)
where hv is the energy of an individual photon, s the cross section of the transition, and τ the effective or saturation lifetime of a photon. The saturation time constant τ is really the effective lifetime or recovery time of the species and represents the time for the species to become excited and to decay again. It can be approximated by tsp (the spontaneous decay lifetime) for a four-level laser or 2tsp (twice the spontaneous decay lifetime) for a three-level laser. You will note that this relationship is simply that rearranged so that the transitional probability is replaced with the effective lifetime. Intensity has units of J/cm2 per second or simply, W/cm2. Although the calculation of Isat looks simple enough, equation (1.4) assumes a gain medium in which the linewidth is broadened solely by the distribution of energy in what is termed a homogenously-broadened medium it does not take into account the broadening of line widths due to Doppler or other mechanisms. Consider that in such a medium the linewidth is predicted by classical mechanics to be:
(1.5)
where Δv is the expected linewidth (in Hz) and τ is the time constant for the upper level. For a He Ne laser in which the lifetime of the upper-lasing level is 30 ns, this corresponds to a linewidth of only 5.2 MHz; however, in the example we found the Doppler-broadened He Ne linewidth to be 1.5 GHz!
While it is difficult to calculate the expected saturation intensity for a given amplifier, it is easy enough to measure it experimentally as depicted in Figure 1.1 in which the gain of a He Ne amplifier tube is measured on the 612 nm (orange) transition.
The arrangement is one described, in which the beam from a laser (the probe beam) is passed through a second (amplifier) tube. Because of the oscillatory nature of the probe laser and limits on the resolution of the power meter employed, there is a large uncertainty in measurements taken at low power levels, as indicated by the error bars on the graph. Regardless, it can clearly be seen that gain is much higher at low intensities and drops as incident power increases. At about 1.6 mW of incident power the gain of the tube is measured to be only a half of what it was when the incident power was 0.4 mW. This is a smaller saturation intensity than expected; however, an estimate would not account for utilization of the lasing volume, a laser operating in the normal Gaussian mode (TEM00) does not use the lasing volume particularly efficiently.
In contrast to this example, consider a solid-state YAG laser in which the cross section is smaller but the spontaneous lifetime of the medium is much longer.

Figure 1.1. Saturated gain in a laser.
The intensity required to saturate this medium is about 100 times larger than that required for the He Ne gas laser.
الاكثر قراءة في مواضيع عامة في الليزر
اخر الاخبار
اخبار العتبة العباسية المقدسة
الآخبار الصحية

قسم الشؤون الفكرية يصدر كتاباً يوثق تاريخ السدانة في العتبة العباسية المقدسة
"المهمة".. إصدار قصصي يوثّق القصص الفائزة في مسابقة فتوى الدفاع المقدسة للقصة القصيرة
(نوافذ).. إصدار أدبي يوثق القصص الفائزة في مسابقة الإمام العسكري (عليه السلام)