
تاريخ الفيزياء

علماء الفيزياء


الفيزياء الكلاسيكية

الميكانيك

الديناميكا الحرارية


الكهربائية والمغناطيسية

الكهربائية

المغناطيسية

الكهرومغناطيسية


علم البصريات

تاريخ علم البصريات

الضوء

مواضيع عامة في علم البصريات

الصوت


الفيزياء الحديثة


النظرية النسبية

النظرية النسبية الخاصة

النظرية النسبية العامة

مواضيع عامة في النظرية النسبية

ميكانيكا الكم

الفيزياء الذرية

الفيزياء الجزيئية


الفيزياء النووية

مواضيع عامة في الفيزياء النووية

النشاط الاشعاعي


فيزياء الحالة الصلبة

الموصلات

أشباه الموصلات

العوازل

مواضيع عامة في الفيزياء الصلبة

فيزياء الجوامد


الليزر

أنواع الليزر

بعض تطبيقات الليزر

مواضيع عامة في الليزر


علم الفلك

تاريخ وعلماء علم الفلك

الثقوب السوداء


المجموعة الشمسية

الشمس

كوكب عطارد

كوكب الزهرة

كوكب الأرض

كوكب المريخ

كوكب المشتري

كوكب زحل

كوكب أورانوس

كوكب نبتون

كوكب بلوتو

القمر

كواكب ومواضيع اخرى

مواضيع عامة في علم الفلك

النجوم

البلازما

الألكترونيات

خواص المادة


الطاقة البديلة

الطاقة الشمسية

مواضيع عامة في الطاقة البديلة

المد والجزر

فيزياء الجسيمات


الفيزياء والعلوم الأخرى

الفيزياء الكيميائية

الفيزياء الرياضية

الفيزياء الحيوية

الفيزياء العامة


مواضيع عامة في الفيزياء

تجارب فيزيائية

مصطلحات وتعاريف فيزيائية

وحدات القياس الفيزيائية

طرائف الفيزياء

مواضيع اخرى
Thermodynamics of Black Holes
المؤلف:
Leonard Susskind And James Lindesay
المصدر:
AN INTRODUCTION TO BLACK HOLES, INFORMATION, AND THE STRING THEORY REVOLUTION
الجزء والصفحة:
14-12-2015
2020
Thermodynamics of Black Holes
We have seen that a large black hole appears to a distant observer as a body with temperature
(1.1)
and energy M. It follows thermodynamically that it must also have an entropy. To find the entropy we use the first law of thermodynamics in the form
dE = T dS (1.2)
where E, the black hole energy, is replaced by M. Using equation 1.1

from which we deduce
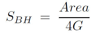
S = 4πM2G (1.3)
The Schwarzschild radius of the black hole is 2MG and the area of the horizon is 4π(4M2G2) so that
(1.4)
This is the famous Bekenstein–Hawking entropy. It is gratifying that it is proportional to the area of the horizon. This, as we have seen, is where all the infalling matter accumulates according to external observers. The matter fields in the vicinity of the horizon give rise to an entropy. Presumably this entropy is part of the entropy of the black hole, but unfortunately it is infinite as ϵ → 0. Evidently something cuts off the modes which are very close to the horizon. To get an idea of where the cut off must occur, we can require that the contribution not exceed the entropy of the black hole SBH
(1.5)
or
(1.6)
In other words, the cutoff must not be much smaller than the Planck length, where the Planck length is given in terms of Newton's constant as 2P =
. This is of course not surprising. It is widely believed that the nasty divergences of quantum gravity will somehow be cut off by some mechanism when the distance scales become smaller than √G.
What is the real meaning of the black hole entropy? According to the principles stated in the introduction to these lectures, the entropy reflects the number of microscopically distinct quantum states that are “coarse grained” into the single macroscopic state that we recognize as a black hole. The number of such states is of order exp SB.H. = exp [4πM2G]. Another way to express this is through the level density of the black hole
(1.7)
where dN is the number of distinct quantum states with mass M in the interval dM.
The entropy of a large black hole is an extensive quantity in the sense that it is proportional to the horizon area. This suggests that we can understand the entropy in terms of the local properties of a limiting black hole of infinite mass and area. The entropy diverges, but the entropy per unit area is finite. The local geometry of a limiting black hole horizon is of course Rindler space.
Let us consider the Rindler energy of the horizon. By definition it is conjugate to the Rindler time ω. Accordingly we write
[ER(M), ω] = i (1.8)
Here ER is the Rindler energy which is of course the eigenvalue of the Rindler Hamiltonian. We assume that for a large black hole the Rindler energy is a function of the mass of the black hole. The mass and Schwarzschild time are also conjugate
[M, t] = i (1.9)
Now use ω = t/4MG to obtain
or
[ER(M), t] = 4MGi (1.10)
Finally, the conjugate character of M and t allows us to write equation 1.10 in the form
(1.11)
and
ER = 2M2 G (1.12)
The Rindler energy and the Schwarzschild mass are both just the energy of the black hole. The Schwarzschild mass is the energy as reckoned by observers at infinity using t-clocks, while the Rindler energy is the (dimensionless) energy as defined by observers near the horizon using ω-clocks. It is of interest that the Rindler energy is also extensive. The area density of Rindler energy is
(1.13)
The Rindler energy and entropy satisfy the first law of thermodynamics
(5.0.14)
where 1/2π is the Rindler temperature. Thus we see the remarkable fact that horizons have universal local properties that behave as if a thermal membrane or stretched horizon with real physical properties were present. As we have seen, the stretched horizon also radiates like a black body.
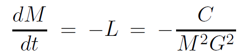
The exact rate of evaporation of the black hole is sensitive to many details, but it can easily be estimated. We first recall that only the very low angular momentum quanta can escape the barrier. For simplicity, suppose that only the s-wave quanta get out. The s-wave quanta are described in terms of a 1+1 dimensional quantum field at Rindler temperature 1/2π . In the same units, the barrier height for the s-wave quanta is comparable to the temperature. It follows that approximately one quantum per unit Rindler time will excape. In terms of the Schwarzschild time, the flux of quanta is of order 1/MG. Furthermore each quantum carries an energy at infinity of order the Schwarzschild temperature 1/8πMG. The resulting rate of energy loss is of order 1/M2G2. We call this L, the luminosity. Evidently energy conservation requires the black hole to lose mass at just this rate
(1.15)
where C is a constant of order unity. The constant C depends on details such as the number of species of particles that can be treated as light enough to be thermally produced. It is therefore not really constant. When the mass of the black hole is large and the temperature low, only a few species of massless particles contribute and C is constant.
If we ignore the mass dependence of C, equation 1.15 can be integrated to find the time that the black hole survives before evaporating to zero mass. This evaporation time is evidently of order
tevaporation ∼ M3 G2 (1.16)
It is interesting that luminosity in equation 1.15 is essentially the Stephan–Boltzmann law
L ∼ T 4 · Area (1.17)
Using T ∼ 1/MG and Area ∼ M2G2 in equation 1.15 gives equation 1.17. However the physics is very different from that of a radiating star. In that case the temperature and size of the system are related in an entirely different way. The typical wavelength of a photon radiated from the sun is ∼ 10−5 cm, while the radius of the surface of the sun is ∼ 1011 cm. The sun is for all intents and purposes infinite on the scale of the emitted photon wavelengths. The black hole on the other hand emits quanta of wavelength ∼ 1/T∼ MG, which is about equal to the Schwarzschild radius. Observing a black hole by means of its Hawking radiation will always produce a fuzzy image, unlike the image of the sun.
الاكثر قراءة في الثقوب السوداء
اخر الاخبار
اخبار العتبة العباسية المقدسة
الآخبار الصحية

قسم الشؤون الفكرية يصدر كتاباً يوثق تاريخ السدانة في العتبة العباسية المقدسة
"المهمة".. إصدار قصصي يوثّق القصص الفائزة في مسابقة فتوى الدفاع المقدسة للقصة القصيرة
(نوافذ).. إصدار أدبي يوثق القصص الفائزة في مسابقة الإمام العسكري (عليه السلام)