Antibonding orbitals
المؤلف:
Peter Atkins، Julio de Paula
المصدر:
ATKINS PHYSICAL CHEMISTRY
الجزء والصفحة:
ص371-372
2025-11-27
85
Antibonding orbitals
The linear combination ψ−in eqn 11.7 corresponds to a higher energy than that of ψ+. Because it is also a σ orbital we label it 2σ. This orbital has an internuclear nodal plane where A and B cancel exactly (Figs. 11.18 and 11.19). The probability density is
ψ2 −=N2(A2+B2−2AB)
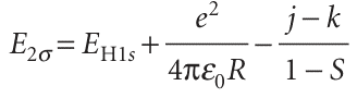
There is a reduction in probability density between the nuclei due to the −2ABterm (Fig. 11.20); in physical terms, there is destructive interference where the two atomic orbitals overlap. The 2σorbital is an example of an antibonding orbital, an orbital that, if occupied, contributes to a reduction in the cohesion between two atoms and helps to raise the energy of the molecule relative to the separated atoms. The energy E2σof the 2σantibonding orbital is given by (see Problem 11.23)

where the integrals S, j, and kare given by eqn 11.12. The variation of E2σwithRis shown in Fig. 11.16, where we see the destabilizing effect of an antibonding electron.

Fig. 11.17A representation of the constructive interference that occurs when two H1sorbitals overlap and form a bonding σ orbital.

Fig. 11.18 A representation of the destructive interference that occurs when two H1s orbitals overlap and form an antibonding 2σ orbital.

Fig. 11.19 (a) The amplitude of the antibonding molecular orbital in a hydrogen molecule-ion in a plane containing the two nuclei and (b) a contour representation of the amplitude. Note the internuclear node.

Fig. 11.20 The electron density calculated by forming the square of the wavefunction used to construct Fig. 11.19. Note the elimination of electron density from the internuclear region.
The effect is partly due to the fact that an antibonding electron is excluded from the internuclear region, and hence is distributed largely outside the bonding region. In effect, whereas a bonding electron pulls two nuclei together, an antibonding electron pulls the nuclei apart (Fig. 11.21). Figure 11.16 also shows another feature that we draw on later: |E− − EH1s|>|E+− EH1s|, which indicates that the antibonding orbital is more antibonding than the bonding orbital is bonding. This important conclusion stems in part from the presence of the nucleus–nucleus repulsion (e2/4πε0R): this contribution raises the energy of both molecular orbitals. Antibonding orbitals are often labelled with an asterisk (*), so the 2σ orbital could also be denoted 2σ* (and read ‘2 sigma star’).
For homonuclear diatomic molecules, it is helpful to describe a molecular orbital by identifying its inversion symmetry, the behaviour of the wavefunction when it is inverted through the centre (more formally, the centre of inversion) of the molecule. Thus, if we consider any point on the bonding σ orbital, and then project it through the centre of the molecule and out an equal distance on the other side, then we arrive at an identical value of the wavefunction (Fig. 11.22). This so-called gerade symmetry (from the German word for ‘even’) is denoted by a subscript g, as in σ g. On the other hand, the same procedure applied to the antibonding 2σ orbital results in the same size but opposite sign of the wavefunction. This ungerade symmetry (‘odd symmetry’) is denoted by a subscript u, as in σ u. This inversion symmetry classification is not applicable to diatomic molecules formed by atoms from two different elements (such as CO) because these molecules do not have a centre of inversion. When using the g, u notation, each set of orbitals of the same inversion symmetry are labelled separately so, whereas 1σ becomes 1σg, its antibonding partner, which so far we have called 2σ, is the first orbital of a different symmetry, and is denoted 1σu. The general rule is that each set of orbitals of the same symmetry designation is labelled separately.
so, whereas 1σ becomes 1σg, its antibonding partner, which so far we have called 2σ, is the first orbital of a different symmetry, and is denoted 1σu. The general rule is that each set of orbitals of the same symmetry designation is labelled separately.

Fig. 11.21 A partial explanation of the origin of bonding and antibonding effects. (a) In a bonding orbital, the nuclei are attracted to the accumulation of electron density in the internuclear region. (b) In an antibonding orbital, the nuclei are attracted to an accumulation of electron density outside the internuclear region.

Fig. 11.22 The parity of an orbital is even (g) if its wavefunction is unchanged under inversion through the centre of symmetry of the molecule, but odd (u) if the wavefunction changes sign. Heteronuclear diatomic molecules do not have a centre of inversion, so for them the g, u classification is irrelevant.
الاكثر قراءة في مواضيع عامة في الكيمياء الفيزيائية
اخر الاخبار
اخبار العتبة العباسية المقدسة