
تاريخ الفيزياء

علماء الفيزياء


الفيزياء الكلاسيكية

الميكانيك

الديناميكا الحرارية


الكهربائية والمغناطيسية

الكهربائية

المغناطيسية

الكهرومغناطيسية


علم البصريات

تاريخ علم البصريات

الضوء

مواضيع عامة في علم البصريات

الصوت


الفيزياء الحديثة


النظرية النسبية

النظرية النسبية الخاصة

النظرية النسبية العامة

مواضيع عامة في النظرية النسبية

ميكانيكا الكم

الفيزياء الذرية

الفيزياء الجزيئية


الفيزياء النووية

مواضيع عامة في الفيزياء النووية

النشاط الاشعاعي


فيزياء الحالة الصلبة

الموصلات

أشباه الموصلات

العوازل

مواضيع عامة في الفيزياء الصلبة

فيزياء الجوامد


الليزر

أنواع الليزر

بعض تطبيقات الليزر

مواضيع عامة في الليزر


علم الفلك

تاريخ وعلماء علم الفلك

الثقوب السوداء


المجموعة الشمسية

الشمس

كوكب عطارد

كوكب الزهرة

كوكب الأرض

كوكب المريخ

كوكب المشتري

كوكب زحل

كوكب أورانوس

كوكب نبتون

كوكب بلوتو

القمر

كواكب ومواضيع اخرى

مواضيع عامة في علم الفلك

النجوم

البلازما

الألكترونيات

خواص المادة


الطاقة البديلة

الطاقة الشمسية

مواضيع عامة في الطاقة البديلة

المد والجزر

فيزياء الجسيمات


الفيزياء والعلوم الأخرى

الفيزياء الكيميائية

الفيزياء الرياضية

الفيزياء الحيوية

الفيزياء والفلسفة

الفيزياء العامة


مواضيع عامة في الفيزياء

تجارب فيزيائية

مصطلحات وتعاريف فيزيائية

وحدات القياس الفيزيائية

طرائف الفيزياء

مواضيع اخرى
Critical Phase-Matching
المؤلف:
Walter Koechner Michael Bass
المصدر:
Solid-state Lasers
الجزء والصفحة:
352
24-1-2021
1528
Critical Phase-Matching
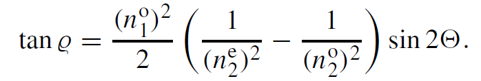
The reason for not achieving the optimum second harmonic output from a particular set-up is in many cases the divergence of the pump beam. For secondharmonic generation in a negative crystal we find that Δk = 0 if no1= ne2(Θm), which is exactly true only at Θ = Θm. Shown that there is a linear relationship between small deviations δθ from the phase-matching angle and Δk. The change of Δk as a function of δθ can be large enough to limit the conversion efficiency in real devices. Consider as an example second-harmonic generation in KDP at 1.064 μm. The linear change in Δk with Θ is sufficiently great to restrict the deviation from the phase-matched direction to approximately 1.2 mrad if the coherence length is to be greater than 1 cm. Phasematching under these unfavorable conditions is termed “critical phase-matching.” Also if phase-matching is accomplished at an angle Θm other than 90◦ with respect to the optic axis of a uniaxial crystal, there will be double refraction.
Therefore, the direction of power flow (Poynting vector) of the fundamental and second harmonics will not be completely collinear but occur at a small angle. For a negative uniaxial crystal and type-I phase-matching, this angle is given by
........(1)
The angle
has the effect of limiting the effective crystal length over which harmonic generation can take place. The beams completely separate at a distance of order
........(2)
called the aperture length where D is the beam diameter. Of course, at only a fraction of this distance the reduction of conversion efficiency because walk-off becomes noticeable and has to be taken into account. For weakly focused Gaussian beams, the aperture length can be expressed as
...... (3)
where w0 is the fundamental beam radius.
الاكثر قراءة في مواضيع عامة في الليزر
اخر الاخبار
اخبار العتبة العباسية المقدسة
الآخبار الصحية

قسم الشؤون الفكرية يصدر كتاباً يوثق تاريخ السدانة في العتبة العباسية المقدسة
"المهمة".. إصدار قصصي يوثّق القصص الفائزة في مسابقة فتوى الدفاع المقدسة للقصة القصيرة
(نوافذ).. إصدار أدبي يوثق القصص الفائزة في مسابقة الإمام العسكري (عليه السلام)