Higher Order Modes
المؤلف:
Walter Koechner, Michael Bass
المصدر:
Solid-State Lasers
الجزء والصفحة:
161
20-1-2021
1486
Higher Order Modes
The fundamental TEM00 mode has the smallest beam radius and divergence in the resonator. The beam radius of each mode increases with increasing mode number. Owing to the complicated beam patterns it is not possible to define the beam size by a 1/e drop in amplitude as is the case for the TEM00 mode. However, an idea of the relationship of beam divergence and mode structure can be obtained if one defines the spot size by a circle containing 90% of the energy for cylindrical modes, and for rectangular modes by a rectangle having dimensions of twice the standard deviation.
With these definitions we obtain, for cylindrical modes,
..........(1)
and, for rectangular modes,
..........(2)
where p, , m, n and w0 is the TEM00 mode
radius. The beam divergence of each higher-order mode also increases according to the scaling law expressed by (1), (2). The increase of beam diameter and divergence of a multimode beam can be expressed by
............(3)
and
......(4)
where the multimode beam divergence Θ and the beam diameter D are related to the fundamental mode beam parameters θ0 and D0 by by a factor of M. It is not sufficient to characterize a laser beam only by its divergence because with a telescope it can always be reduced. The beam property that cannot be corrected by an optical system is the brightness, i.e., the beam intensity per unit solid angle. The brightness theorem states that the product of beam diameter and far-field angle is constant
....(5)
where M2 is a dimensionless beam-quality figure of merit and θD is typically expressed as the beam-parameter product (mm-mrad). A laser operating in the TEM00 mode is characterized by M2 = 1 we obtain
......(6)
The value of M2 expresses the degree by which the actual beam is above the diffraction limit of an ideal Gaussian beam.
For an Nd :YAG laser emitting at 1.064μm this product is θ0D0 = 1.35 mmmr. An Nd :YAG laser with a low-order mode output such as, for example, TEM20 has a beam quality factor of M2 = 5 or, in other words, the beam is five times diffraction limited. The beam-parameter product is about 6.8 mmmrad.
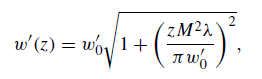
Actually the output from a multimode laser rarely consists of a single higherorder mode, typically the output is comprised of the incoherent superposition of several modes. Multimode beams comprised of the superposition of modes with beam patterns, have the property that the beam radius will retain a fixed ratio with respect to the Gaussian beam radius w(z) over all distances. The multimode beam will therefore propagate with distance in the same for a Gaussian beam
.....(7)
where w' (z) is the beam radius at z and w'0 is the radius at the waist of the multimode beam.
Because the envelope of a multimode and TEM00 beam change in the same ratio over distance, calculations of the propagation of a multimode beam through a resonator can first be performed for a Gaussian beam and then multiplied by a factor w0' /w0 in order to obtain the multimode beam diameter at each point.
الاكثر قراءة في مواضيع عامة في الليزر
اخر الاخبار
اخبار العتبة العباسية المقدسة