Pöschl-Teller Differential Equations
المؤلف:
Barut, A. O
المصدر:
Inomata, A.; and Wilson, R. "Algebraic Treatment of Second Pöschl-Teller, Morse-Rosen, and Eckart Equations." J. Phys. A: Math. Gen. 2
الجزء والصفحة:
...
3-7-2018
1316
Pöschl-Teller Differential Equations
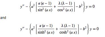
The first and second Pöschl-Teller differential equations are given by

respectively.
REFERENCES:
Barut, A. O.; Inomata, A.; and Wilson, R. "Algebraic Treatment of Second Pöschl-Teller, Morse-Rosen, and Eckart Equations." J. Phys. A: Math. Gen. 20, 4083-4096, 1987.
Zwillinger, D. Handbook of Differential Equations, 3rd ed. Boston, MA: Academic Press, p. 126, 1997.
الاكثر قراءة في معادلات تفاضلية
اخر الاخبار
اخبار العتبة العباسية المقدسة