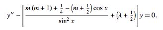
Magnetic Pole Differential Equation
المؤلف:
Infeld, L. and Hull, T. E
المصدر:
"The Factorization Method." Rev. Mod. Phys. 23
الجزء والصفحة:
...
22-6-2018
1064
Magnetic Pole Differential Equation
The second-order ordinary differential equation

REFERENCES:
Infeld, L. and Hull, T. E. "The Factorization Method." Rev. Mod. Phys. 23, 21-68, 1951.
Zwillinger, D. Handbook of Differential Equations, 3rd ed. Boston, MA: Academic Press, p. 125, 1997.
الاكثر قراءة في معادلات تفاضلية
اخر الاخبار
اخبار العتبة العباسية المقدسة