

تاريخ الرياضيات

الاعداد و نظريتها

تاريخ التحليل

تار يخ الجبر

الهندسة و التبلوجي


الرياضيات في الحضارات المختلفة

العربية

اليونانية

البابلية

الصينية

المايا

المصرية

الهندية


الرياضيات المتقطعة

المنطق

اسس الرياضيات

فلسفة الرياضيات

مواضيع عامة في المنطق


الجبر

الجبر الخطي

الجبر المجرد

الجبر البولياني

مواضيع عامة في الجبر

الضبابية

نظرية المجموعات

نظرية الزمر

نظرية الحلقات والحقول

نظرية الاعداد

نظرية الفئات

حساب المتجهات

المتتاليات-المتسلسلات

المصفوفات و نظريتها

المثلثات


الهندسة

الهندسة المستوية

الهندسة غير المستوية

مواضيع عامة في الهندسة

التفاضل و التكامل


المعادلات التفاضلية و التكاملية

معادلات تفاضلية

معادلات تكاملية

مواضيع عامة في المعادلات


التحليل

التحليل العددي

التحليل العقدي

التحليل الدالي

مواضيع عامة في التحليل

التحليل الحقيقي

التبلوجيا

نظرية الالعاب

الاحتمالات و الاحصاء

نظرية التحكم

بحوث العمليات

نظرية الكم

الشفرات

الرياضيات التطبيقية

نظريات ومبرهنات


علماء الرياضيات

500AD

500-1499

1000to1499

1500to1599

1600to1649

1650to1699

1700to1749

1750to1779

1780to1799

1800to1819

1820to1829

1830to1839

1840to1849

1850to1859

1860to1864

1865to1869

1870to1874

1875to1879

1880to1884

1885to1889

1890to1894

1895to1899

1900to1904

1905to1909

1910to1914

1915to1919

1920to1924

1925to1929

1930to1939

1940to the present

علماء الرياضيات

الرياضيات في العلوم الاخرى

بحوث و اطاريح جامعية

هل تعلم

طرائق التدريس

الرياضيات العامة

نظرية البيان
Universal Differential Equation
المؤلف:
Boshernitzan, M
المصدر:
"Universal Formulae and Universal Differential Equations." Ann. Math. 124
الجزء والصفحة:
...
22-5-2018
2228
Universal Differential Equation
A universal differential equation (UDE) is a nontrivial differential-algebraic equation with the property that its solutions approximate to arbitrary accuracy any continuous function on any interval of the real line.
Rubel (1981) found the first known UDE by showing that, given any continuous function
and any positive continuous function
, there exists a
solution
of
![]() |
(1) |
such that
![]() |
(2) |
for all
.
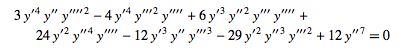
Duffin (1981) found two additional families of UDEs,
![]() |
(3) |
and
![]() |
(4) |
whose solutions are
for
.
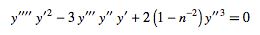
Briggs (2002) found a further family of UDEs given by
![]() |
(5) |
for
.
REFERENCES:
Boshernitzan, M. "Universal Formulae and Universal Differential Equations." Ann. Math. 124, 273-291, 1986.
Boshernitzan, M. and Rubel, L. A. "Coherent Families of Polynomials." Analysis 6, 339-389, 1985.
Briggs, K. "Another Universal Differential Equation." 8 Nov 2002. http://arxiv.org/abs/math.CA/0211142.
Duffin, R. J. "Rubel's Universal Differential Equation." Proc. Nat. Acad. Sci. USA 78, 4661-4662, 1981.
Elsner, C. "On the Approximation of Continuous Functions by
-Solutions of Third-Order Differential Equations." Math. Nachr. 157, 235-241, 1992.
Elsner, C. "A Universal Functional Equation." Proc. Amer. Math. Soc. 127, 139-143, 1999.
Rubel, L. A. "A Universal Differential Equation." Bull. Amer. Math. Soc. 4, 345-349, 1981.
Rubel, L. A. "Some Research Problems About Algebraic Differential Equations." Trans. Amer. Math. Soc. 280, 43-52, 1983.
Rubel, L. A. "Some Research Problems About Algebraic Differential Equations II." Illinois J. Math. 36, 659-680, 1992.
Rubel, L. A. "Uniform Approximation by Rational Functions All of Which Satisfy the Same Algebraic Differential Equation." J. Approx. Th. 84, 123-128, 1996.
الاكثر قراءة في معادلات تفاضلية
اخر الاخبار
اخبار العتبة العباسية المقدسة
الآخبار الصحية






قسم الشؤون الفكرية يصدر كتاباً يوثق تاريخ السدانة في العتبة العباسية المقدسة
"المهمة".. إصدار قصصي يوثّق القصص الفائزة في مسابقة فتوى الدفاع المقدسة للقصة القصيرة
(نوافذ).. إصدار أدبي يوثق القصص الفائزة في مسابقة الإمام العسكري (عليه السلام)